Đề ôn tập giữa học kì 1 môn Toán lớp 5 - Đề 6
Đề ôn tập giữa học kì 1 môn Toán lớp 5
Đề ôn tập giữa học kì 1 môn Toán lớp 5 - Đề 6 được VnDoc sưu tầm, chọn lọc cho các em học sinh ôn tập, củng cố kiến thức, rèn luyện kỹ năng giải Toán chuẩn bị cho các bài thi kiểm tra giữa học kì 1 lớp 5. Mời các thầy cô cùng các em học sinh tham khảo.
Đề bài ôn tập giữa học kì 1 môn Toán lớp 5 - Đề 6
Bài 1.
a) Viết số sau:
- Số “bốn mươi lăm phẩy ba trăm linh chín” viết là:
- Số “chín mươi bảy và mười một phần mười chín” viết là:
- Số “mười ba phần hai mươi chin” viết là:
b) Đọc các số sau:
\(7\frac{1}{1000}\) đọc là:
\(8\frac{8}{31}\) đọc là:
20,208 đọc là:
Bài 2. Viết số thập phân thích hợp vào chỗ chấm:
a)
\(3\frac{4}{100}\)
b)
\(\frac{97}{1000}\)
c) 4m 7dm = ………………m
d) 6 tạ 3kg = ………………tạ
Bài 3. Khoanh vào chữ đặt trước câu trả lời đúng:
a) Giá trị của chữ số 2 trong số 75,028 là:
A. 2/10
B. 2/100
C. 2 D. 20
b) 11m2 6dm2 =………m2
Số thích hợp điền vào chỗ chấm là:
A. 11,6
B. 11,60
B. 11,06
D.11,006
\(2\frac{2}{5}=......\)
Số thập phân thích hợp điền vào chỗ chấm là:
A. 2,2
B. 2,5
C. 2,25
D. 2,4
d) 37,89 < 37,▭9
Chữ số thích hợp điền vào ô trống là:
A. 9
B. 8
C. 7
D.6
Bài 4. Đúng ghi Đ, sai ghi S vào ô trống:
a) 4,28 m2 = 42,8dm2▭
b) 0,02ha = 2dam2 ▭
c) 0,7 tấn = 7000 kg ▭
d) 0,4km = 400 m ▭
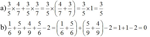
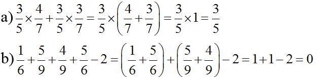
Bài 5. Tính nhanh:

Bài 6. Trước đây mua 6 mét vải phải trả 120 000 đồng. Hiện nay mỗi mét vải đã giảm đi 5 000 đồng. Hỏi với 120 000 đồng, hiện nay có thể mua được bao nhiêu mét vải như thế?
Đáp án Đề kiểm tra giữa kì 1 môn Toán lớp 5
Bài 1:

b) Bảy và một phần một nghìn
Tám và tám phần ba mươi mốt
Hai mươi phẩy hai trăm linh tám.
Bài 2.

c) 4m 7dm = 4,7 m
d) 6 tạ 3kg = 6,03 tạ
Bài 3.
a) B
b) C
c) D
d) A
Bài 4.
a) S
b) Đ
c) S
d) Đ
Bài 5.

Bài 6.
Trước đây mua 1m vải phải trả số tiền là:
120000 : 6 =20000 (đồng)
Hiện nay mua 1m vải phải trả số tiền là:
20000 – 5000 = 15 000 (đồng)
Với 120 000 đồng hiện nay mua được số mét vải là:
120000 : 15000 = 8 (m)
Đáp số: 8m vải