Đề ôn tập giữa học kì 2 môn Toán lớp 6 - Đề 1
Đề ôn tập giữa học kì 2 môn Toán lớp 6
Đề ôn tập giữa học kì 2 môn Toán lớp 6 - Đề 1 được VnDoc sưu tầm, chọn lọc cho các em học sinh ôn tập, củng cố kiến thức, rèn luyện kỹ năng giải Toán chuẩn bị cho các bài thi, bài kiểm tra giữa học kì 2 lớp 6. Mời các thầy cô cùng các em học sinh tham khảo.
Đề bài: Đề ôn tập học kì 1 môn Toán lớp 6
PHẦN I: TRẮC NGHIỆM ( 2 điểm).
Khoanh tròn vào chữ cái trước câu trả lời đúng từ câu 1 đến câu 4.
Câu 1. Kết quả của phép tính (-1)4.(-3).(3)2 là:
A. 18
B. - 18
C. - 27
D. (-3)3
Câu 2. Biết
.
Giá trị của x và y lần lượt là:
A. -11 và -10
B. 11 và -18
C. -11 và 10
D. 11 và 18
Câu 3. Biết
.
Số x là:
A. -16
B. 4
C. - 4
D. 4 ; -4
Câu 4. Tia Ot là tia phân giác của
khi:

Câu 5. Điền dấu x vào cột đúng (Đ), sai (S) trong các khẳng định sau:
|
Khẳng định |
Đ |
S |
|
1. Tổng của các số nguyên âm là một số nguyên âm |
||
|
2. Tích của các số nguyên âm là một số nguyên dương |
||
|
3. Tổng của một số nguyên âm với một số nguyên dương là một số nguyên âm |
||
|
4. Phân số có tử và mẫu là hai số nguyên cùng dấu là phân số dương |
PHẦN II: TỰ LUẬN (8 điểm)
Câu 1. Thực hiện các phép tính sau:
a) - 4 . 125 . (-9) . (-8) .(-25)

Câu 2. Tìm x biết:

Câu 3. Trên cùng nửa mặt phẳng có bờ chứa tia O. Vẽ 2 tia Oy và Oz sao cho

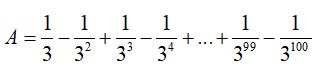
Câu 4. Tính nhanh.

Ngoài Đề ôn tập giữa học kì 2 môn Toán lớp 6 - Đề 1 mới nhất trên, các em học sinh tham khảo các bài giải SGK môn Toán lớp 6, Môn Ngữ văn 6, Môn Vật lý 6, môn Sinh Học 6, môn Địa lý lớp 6, môn Lịch sử lớp 6....và các đề thi học kì 2 lớp 6 để chuẩn bị cho các bài thi đề thi học kì 2 đạt kết quả cao.