Đề ôn thi giữa học kì 2 môn Toán lớp 6 - Đề 2
Đề ôn thi giữa học kì 2 môn Toán lớp 6
Đề ôn thi giữa học kì 2 môn Toán lớp 6 - Đề 2 được VnDoc sưu tầm, chọn lọc cho các em học sinh ôn tập, củng cố kiến thức, rèn luyện kỹ năng giải Toán chuẩn bị cho các bài thi, bài kiểm tra giữa học kì 2 lớp 6. Mời các thầy cô cùng các em học sinh tham khảo.
Đề bài: Đề ôn tập học kì 1 môn Toán lớp 6
Câu 1: (2 điểm) Tính hợp lí:

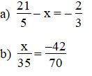
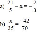
Câu 2: (2 điểm) Tìm x:

Câu 3: (2 điểm) Rút gọn các phân số sau đến tối giản:

Câu 4: (3,5 điểm)
Trên cùng một nửa mặt phẳng có bờ chứa tia Ox, vẽ hai tia Oy và Ot sao cho
góc xOy = 120o , góc xOt = 60o.
a) Trong ba tia Ox, Oy, Ot thì tia nào nằm giữa hai tia còn lại? Vì sao?
b) So sánh góc xOt và góc tOy?
c) Hỏi tia Ot có là tia phân giác của góc xOy không? Vì sao?
Câu 5: (0,5 điểm) Cho

Tìm n để giá trị nguyên của E là số nguyên.
>> Tham khảo đề tiếp theo: Đề ôn thi giữa học kì 2 môn Toán lớp 6 - Đề 3
Đề ôn thi giữa học kì 2 môn Toán lớp 6 - Đề 2 bao gồm 5 câu tự luận hệ thống lại các kiến thức đã học môn Toán cho các em học sinh tham khảo củng cố kiến thức, ôn tập lại các kiến thức trọng tâm, chuẩn bị cho bài thi giữa học kì 2 đạt kết quả cao.
Ngoài Đề ôn thi giữa học kì 2 môn Toán lớp 6 - Đề 2 mới nhất trên, các em học sinh tham khảo các bài giải SGK môn Toán lớp 6, Môn Ngữ văn 6, Môn Vật lý 6, môn Sinh Học 6, môn Địa lý lớp 6, môn Lịch sử lớp 6....và các đề thi học kì 2 lớp 6 để chuẩn bị cho các bài thi đề thi học kì 2 đạt kết quả cao.