Đề thi chọn học sinh giỏi cấp huyện lớp 9 môn Toán Phòng GD&ĐT Đức Thọ năm học 2018 - 2019
Đề thi chọn học sinh giỏi lớp 9 môn Toán Phòng GD&ĐT Đức Thọ năm 2018
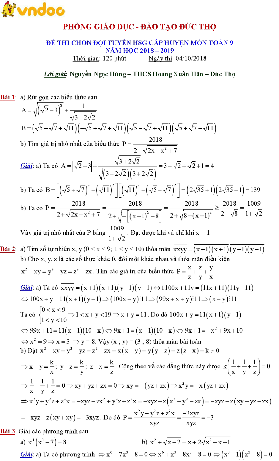
Đề thi chọn học sinh giỏi cấp huyện lớp 9 môn Toán Phòng GD&ĐT Đức Thọ năm học 2018 - 2019 là đề tham khảo dành cho các bạn học sinh và thầy cô nghiên cứu, học tập tốt môn Toán lớp 9 cũng như luyện tập và làm quen với nhiều đề học sinh giỏi hơn nhằm chuẩn bị tốt nhất cho các kì thi sắp diễn ra. Mời các bạn tham khảo.
..............................................................
Mời các bạn tham khảo đề thi học sinh giỏi của các tỉnh khác trong cả nước để lấy thêm tài liệu ôn tập:
- Đề thi chọn học sinh giỏi lớp 9 môn Toán trường THCS Hoàng Xuân Hãn, Hà Tĩnh năm học 2018 - 2019
- Đề thi chọn học sinh giỏi lớp 9 môn Toán trường THCS Hoàng Xuân Hãn, Hà Tĩnh năm học 2018 - 2019 (vòng 2)
- Đề thi chọn học sinh giỏi cấp huyện lớp 9 môn Toán Phòng GD&ĐT Thạch Hà năm học 2018 - 2019
- 100 Đề thi học sinh giỏi lớp 9 môn Toán
- Bộ đề thi học sinh giỏi lớp 9 môn Toán năm học 2017 - 2018
Ngoài Đề thi chọn học sinh giỏi cấp huyện lớp 9 môn Toán Phòng GD&ĐT Đức Thọ năm học 2018 - 2019, các bạn học sinh còn có thể tham khảo các đề thi học kì 2 lớp 9 các môn Toán, Văn, Anh, Lý, Địa, Sinh mà chúng tôi đã sưu tầm và chọn lọc. Với đề thi lớp 9 này giúp các bạn rèn luyện thêm kỹ năng giải đề và làm bài tốt hơn. Chúc các bạn ôn thi tốt


