Đề thi chọn học sinh giỏi cấp tỉnh môn Toán lớp 12 Chuyên Sở GD - ĐT Bắc Ninh năm 2015 - 2016
Đề thi học sinh giỏi môn Toán cấp tỉnh lớp 12 Chuyên
Đề thi chọn học sinh giỏi cấp tỉnh môn Toán lớp 12 Chuyên Sở GD-ĐT Bắc Ninh năm 2015 - 2016 gồm 5 câu hỏi tự luận có đáp án đi kèm, là tài liệu ôn tập hữu ích dành cho các bạn học sinh lớp 12, những bạn muốn luyện tập và củng cố kiến thức môn Toán nâng cao. Mời các bạn tham khảo.
Đề thi học sinh giỏi quốc gia THPT môn Toán năm 2016
|
UBND TỈNH BẮC NINH SỞ GIÁO DỤC VÀ ĐÀO TẠO ĐỀ CHÍNH THỨC
|
ĐỀ THI CHỌN HỌC SINH GIỎI CẤP TỈNH NĂM HỌC 2015 – 2016 Môn thi: Toán – Lớp 12 Chuyên Thời gian làm bài: 180 phút (không kể thời gian giao đề) Ngày thi: 24 tháng 3 năm 2016 |
Câu 1. (4,0 điểm)
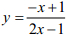
Cho hàm số
Chứng minh rằng với mọi m đường thẳng y = x + m luôn cắt đồ thị (C) tại hai điểm phân biệt A và B. Gọi k1, k2 lần lượt là hệ số góc của các tiếp tuyến với (C) tại A và B. Tìm m để k20161 + k20162 đạt giá trị nhỏ nhất.
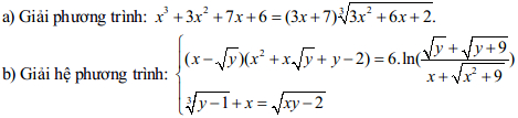
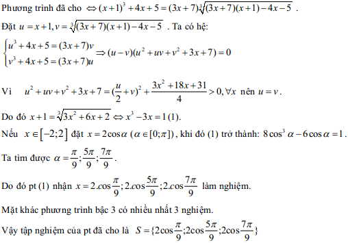
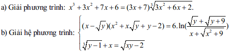
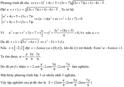
Câu 2. (5,0 điểm)

Câu 3. (3,0 điểm)
Cho các số thực không âm x, y, z thỏa mãn x + y > 0. Tìm giá trị lớn nhất của biểu thức:
![]()
Câu 4. (6,0 điểm)
a) Trong không gian với hệ tọa độ Oxyz, cho hai mặt phẳng (P): 3x + y + 2z - 14 = 0, (Q): x + 2y - 3z + 16 = 0 và điểm M(6,2,4). Tìm tọa độ điểm E thuộc mặt phẳng (P), F thuộc mặt phẳng (Q) sao cho ME + EF + FM = 2√30.
b) Cho tam giác ABC cân tại A. Gọi M là trung điểm cạnh AB, G là trọng tâm tam giác AMC và I là tâm đường tròn ngoại tiếp tam giác ABC. Chứng minh đường thẳng GI vuông góc với đường thẳng CM.
Câu 5. (2,0 điểm)

Đáp án đề thi HSG môn Toán cấp tỉnh lớp 12 Chuyên
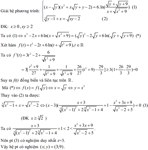
Câu 1:

Câu 2a:

Câu 2b:

(Còn tiếp)