Đề thi chọn học sinh giỏi giải Toán trên máy tính cầm tay Casio lớp 9 tỉnh Ninh Thuận năm 2009 - 2010
Đề thi chọn HSG giải Toán trên máy tính cầm tay Casio lớp 9
Đề thi chọn học sinh giỏi giải Toán trên máy tính cầm tay Casio lớp 9 tỉnh Ninh Thuận năm 2009 - 2010 được VnDoc.com sưu tầm và đăng tải, là tài liệu ôn tập môn Toán nâng cao hữu ích dành cho các bạn học sinh lớp 9, giúp các bạn chuẩn bị tốt nhất cho các kì thi, các bài kiểm tra Toán sắp tới một cách hiệu quả.
Đề thi học sinh giỏi giải toán trên máy tính cầm tay năm học 2012 - 2013 môn Toán khối 9
Đề thi giải toán trên máy tính cầm tay lớp 9 THCS huyện Bình Giang năm 2013 - 2014
Đề thi giải toán trên Máy tính cầm tay lớp 9 THCS tỉnh Quảng Ninh năm 2011 - 2012
|
SỞ GIÁO DỤC - ĐÀO TẠO NINH THUẬN
|
KỲ THI CHỌN HỌC SINH GIỎI CẤP TỈNH GIẢI TOÁN TRÊN MÁY TÍNH CẦM TAY NĂM HỌC 2009 - 2010 Khóa ngày: 31/01/ 2010 MÔN: Toán, Lớp: 9 THCS Thời gian làm bài: 150 phút (Không kể thời gian phát đề) |
Bài 1 (5 điểm): Tính giá trị của các biểu thức sau rồi điền kết quả vào ô trống:


Bài 2 (5 điểm):
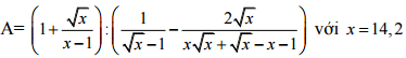
Tính giá trị của các biểu thức sau: (Chính xác đến 5 chữ số thập phân)
![]()
![]()
![]()
Bài 3 (5 điểm):
Một bàn cờ vua có 64 ô vuông. Nếu ô thứ nhất bỏ 1 hạt gạo; ô thứ hai bỏ 2 hạt gạo; ô thứ ba bỏ 4 hạt gạo;......(ô sau nhiều gấp đôi ô trước). Hỏi phải cần bao nhiêu kilôgam gạo để bỏ đủ nửa bàn cờ theo quy tắc trên (giả sử có đủ chổ để bỏ). Biết 1 hạt gạo nặng 0,02g.
Bài 4 (5điểm):
4.1 Tìm dư của phép chia 2006200720082009 cho 2010
4.2 Tìm chữ số hàng trăm của số: A= 312010
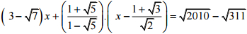
Bài 5 (5 điểm): Giải phương trình:
![]()
Bài 6 (5 điểm):
6.1 Tìm dư trong phép chia đa thức: f(x) = x2010 + x2009 +x2008 + ... + x + 1 cho x2 – 1
6.2 Tìm a; b; c; d sao cho đa thức: x4 – x3 + ax2 + bx + c chia cho x2 + d có số dư là x và chia cho x2 – d thì có số dư là – x.
Bài 7: Một người hàng tháng gửi vào ngân hàng một số tiền là a đồng với lãi suất m% một tháng (gửi góp). Biết rằng người đó không rút tiền lãi ra. Lập công thức tính số tiền cả gốc và lãi mà người đó nhận sau n tháng. Áp dụng khi a = 1.000.000; m = 0,6%; n = 10.
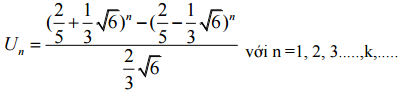
Bài 8 (5 điểm): Cho dãy số (un) với số hạng tổng quát được cho bởi công thức:

8.1 Tính U1; U2; U3; U4
8.2 Lập công thức truy hồi tính Un+2 theo Un+1 và Un.
8.3 Viết quy trình ấn phím liên tục tính Un.
Bài 9 (5 điểm): Tính tỷ số diện tích của phần tô đậm và phần không tô trong hình vẽ bên (Đường tròn nội tiếp hình vuông, tam giác đều nội tiếp trong đường tròn, đường tròn nội tiếp tam giác đều).

Bài 10 (5 điểm): Cho tam giác ABC có các trung tuyến AM và BN vuông góc với nhau. Tính AB? biết AC = b = 31,1 cm và BC = a = 26,3 cm.