Giao diện mới của VnDoc Pro: Dễ sử dụng hơn - chỉ tập trung vào lớp bạn quan tâm. Vui lòng chọn lớp mà bạn quan tâm: Lưu và trải nghiệm
Đóng
Điểm danh hàng ngày
  • Hôm nay +3
  • Ngày 2 +3
  • Ngày 3 +3
  • Ngày 4 +3
  • Ngày 5 +3
  • Ngày 6 +3
  • Ngày 7 +5
Bạn đã điểm danh Hôm nay và nhận 3 điểm!
Nhắn tin Zalo VNDOC để nhận tư vấn mua gói Thành viên hoặc tải tài liệu Hotline hỗ trợ: 0936 120 169

Đề thi chọn Học sinh giỏi Lớp 5 năm 2013 - Trường TH số 2 Sơn Thành Đông

Lớp: Lớp 5
Môn: Toán
Dạng tài liệu: Đề thi HSG
Loại: Tài liệu Lẻ
Loại File: Word + PDF
Phân loại: Tài liệu Tính phí

Đề thi chọn Học sinh giỏi Lớp 5

Đề học sinh giỏi cấp trường môn Toán, Tiếng Việt lớp 5 trường Tiểu học số 2 Sơn Thành Đông năm 2012 - 2013 gồm phần Toán và Tiếng Việt, là tài liệu ôn tập hữu ích dành cho các em học sinh lớp 5, giúp các em củng cố và hệ thống lại kiến thức hiệu quả. Đây cũng là tài liệu hữu ích dành cho quý giáo viên sử dụng để làm bài tập nâng cao cho các em.

Đề kiểm tra chất lượng đầu năm Lớp 5 - Trường TH số 2 Sơn Thành Đông năm 2013

Đề giao lưu học sinh giỏi cấp trường môn Toán lớp 5 trường Tiểu học Kim An, Hà Nội năm 2014 - 2015

Test online: Đề thi học sinh giỏi cấp trường môn Toán lớp 5 năm 2014 - 2015 Trường TH Kim An, Thanh Oai

TRƯỜNG TIỂU HỌC SỐ 2 SƠN THÀNH ĐÔNG
HUYỆN TÂY HÒA - TỈNH PHÚ YÊN

Họ và tên:
Lớp:

ĐỀ THI CHỌN HỌC SINH GIỎI LỚP 5
NĂM HỌC: 2012 - 2013

ĐỀ THI MÔN: TOÁN

Bài 1:

Tổng của hai số là 390. Nếu thêm số 3 vào trước số thứ hai sẽ được số thứ nhất. Tìm hai số đó.

Bài 2:

Tính: (4,578 : 3,27 + 5,232 : 3,27) x 4,08 – 4,08

Bài 3:

Tìm số có hai chữ số biết rắng số đó gấp 9 lần chữ số hàng đơn vị của nó.

Bài 4:

Điền vào chỗ chấm: 6 hm2 24 dm2……………………..m2

Bài 5:

Tìm X biết: X – 15,7 – 2,18 = 36,5

Bài 6:

Tổng số tuổi của hai anh em là 24 tuổi. Biết rằng 6 năm nữa thì số tuổi của em bằng tuổi anh Tính tuổi hiện nay của mỗi người.

Bài 7:

Tính: 8 ngày 7 giờ - 3ngày 14 giờ

Bài 8:

Cho m = 27,63; n = 9,8; p = 3,67. Tính giá trị của p x n – m

Bài 9: Trung bình cộng của hai số bằng 15,5. Số bé bằng 13,5 tìm số lớn.

Bài 10:

Một bếp ăn dự trữ một số gạo cho 120 người ăn trong 20 ngày. Sau khi ăn được 5 ngày, bếp ăn nhận thêm 30 người nữa (Mức ăn của mỗi người như nhau). Hỏi số gạo còn lại đủ ăn trong bao nhiêu ngày nữa?

Bài 11:

Tìm số tự nhiên X biết:

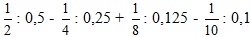
Bài 12:

Tính:

Bài 13:

Tính giá trị của A, biết a = 53,63: A = 4,1 x (a + 46,47) – 217

Bài 14:

Một cửa hàng mua 60000 đồng một hộp bánh. Hỏi cửa hàng đó phải bán ra giá bao nhiêu để được lãi 25 % giá bán?

Bài 15:

Đoàn khách du lịch có 50 người, muốn thuê xe loại 4 chỗ ngồi. Hỏi cần thuê ít nhất bao nhiêu xe để chở hết số khách đó?

Bài 16 ( tự luận):

Cho hình tam giác ABC vuông ở A có chu vi là 120 cm. Độ dài cạnh AC lớn hơn AB 10 cm. BC dài 50 cm.

a. Tính độ dài cạnh AB; AC.

b. Tính diện tích hình tam giác ABC

ĐỀ THI MÔN: TIẾNG VIỆT

Câu 1: (3 điểm ) Cho một số từ sau:

Thật thà, bạn bè, hư hỏng, san sẻ, bạn học, chăm chỉ, gắn bó, bạn đường, giúp đỡ, bạn đọc

Hãy xếp các từ trên vào ba nhóm:

a, Từ ghép tổng hợp:......................................................................................................

b, Từ ghép phân loại:......................................................................................................

c, Từ láy:.......................................................................................................................

Câu 2: (3 điểm)

a, Chép lại đoạn văn sau khi đã đặt dấu câu vào vị trí thích hợp

Ban đêm, mặt trăng tròn vành vạnh đồng lúa trải một màu xanh mênh mông mặt ao sóng sánh, một mảnh trăng hồng bồng bềnh trôi trong nước.

- Chỉ rõ đoạn văn đã khôi phục đâu là câu đơn, đâu là câu ghép.

b, Xác định thành phần cấu tạo trong các câu văn của đoạn văn trên?

Câu 3: (2 điểm)

Xác định từ loại trong câu văn sau (danh từ, động từ, tính từ, đại từ, quan hệ từ)

“Thời gian như lắng đọng khi ông mãi lặng yên đọc đi, đọc lại những dòng chữ nguệch ngoạc của con mình”

Câu 4: (4 điểm)

Trong bài hành trình của bầy ong (Tiếng Việt 5 – tập 1) nhà thơ Nguyễn Đức Mậu viết:

Chắt trong vị ngọt mùi hương
Lặng thầm thay những con đường ong bay
Trải qua mưa nắng vơi đầy
Ven trời đất đủ làm say đất trời
Bầy ong giữ hộ cho người
Những mùa hoa đã tàn phai tháng ngày

Em hiểu nội dung đoạn thơ trên nói gì? Hai dòng thơ cuối giúp em cảm nhận được ý nghĩa gì sâu sắc và đẹp đẽ.

Câu 5: (7 điểm)

Giả sử em là một tuyên truyền viên nhỏ tuổi, em hãy viết một đoạn văn (10 – 15 câu) kêu gọi mọi hãy giữ gìn và bảo vệ môi trường.

Chọn file muốn tải về:
Đóng Chỉ thành viên VnDoc PRO/PROPLUS tải được nội dung này!
Đóng
79.000 / tháng
Đặc quyền các gói Thành viên
PRO
Phổ biến nhất
PRO+
Tải tài liệu Cao cấp 1 Lớp
30 lượt tải tài liệu
Xem nội dung bài viết
Trải nghiệm Không quảng cáo
Làm bài trắc nghiệm không giới hạn
Mua cả năm Tiết kiệm tới 48%

Có thể bạn quan tâm

Xác thực tài khoản!

Theo Nghị định 147/2024/ND-CP, bạn cần xác thực tài khoản trước khi sử dụng tính năng này. Chúng tôi sẽ gửi mã xác thực qua SMS hoặc Zalo tới số điện thoại mà bạn nhập dưới đây:

Số điện thoại chưa đúng định dạng!
Số điện thoại này đã được xác thực!
Bạn có thể dùng Sđt này đăng nhập tại đây!
Lỗi gửi SMS, liên hệ Admin
Sắp xếp theo
🖼️

Thi học sinh giỏi lớp 6

Xem thêm
🖼️

Gợi ý cho bạn

Xem thêm