Giao diện mới của VnDoc Pro: Dễ sử dụng hơn - chỉ tập trung vào lớp bạn quan tâm. Vui lòng chọn lớp mà bạn quan tâm: Lưu và trải nghiệm
Đóng
Điểm danh hàng ngày
  • Hôm nay +3
  • Ngày 2 +3
  • Ngày 3 +3
  • Ngày 4 +3
  • Ngày 5 +3
  • Ngày 6 +3
  • Ngày 7 +5
Bạn đã điểm danh Hôm nay và nhận 3 điểm!
Nhắn tin Zalo VNDOC để nhận tư vấn mua gói Thành viên hoặc tải tài liệu Hotline hỗ trợ: 0936 120 169

Đề thi giữa học kì 1 môn Sinh học lớp 12 trường THPT Phan Ngọc Hiển, Cà Mau năm 2015 - 2016

Lớp: Lớp 12
Môn: Sinh Học
Dạng tài liệu: Đề thi
Loại File: Word + PDF
Phân loại: Tài liệu Tính phí

Đề thi giữa học kì 1 môn Sinh học lớp 12

Đề thi giữa học kì 1 môn Sinh học lớp 12 trường THPT Phan Ngọc Hiển, Cà Mau năm 2015 - 2016 là đề kiểm tra giữa kì I lớp 12 môn Sinh có đáp án. Đề thi giúp các bạn ôn tập và nâng cao kiến thức Sinh học hiệu quả, từ đó chuẩn bị cho bài khảo sát giữa kì, kì thi học kì 1. Mời các bạn tham khảo.

Đề kiểm tra giữa học kì 1 môn Sinh học lớp 12 năm học 2015 - 2016 trường THPT Thống Nhất A, Đồng Nai

Đề kiểm tra giữa học kì 1 môn Ngữ văn lớp 12 năm học 2015 - 2016 trường THPT Thống Nhất A, Đồng Nai

THPT PHAN NGỌC HIỂN

ĐỀ KIỂM TRA 45 PHÚT, GIỮA HỌC KỲ I

NĂM HỌC 2015 – 2016

MÔN SINH HỌC, KHỐI 12

MÃ ĐỀ: 111

Câu 1: Phân tích thành phần hoá học của một axit nuclêic cho thấy tỉ lệ các loại nuclêôtit như sau: A = 20%; G = 35%; T = 20%. Axit nuclêic này là

A. ADN có cấu trúc mạch đơn. B. ADN có cấu trúc mạch kép.

C. ARN có cấu trúc mạch đơn. D. ARN có cấu trúc mạch kép.

Câu 2: Một gen có khối lượng 72.104 đ.v.c và có hiệu số G – A = 380. Mỗi loại nu trong gen đó là:

A. A = T = 790; G = X = 410 B. A = T = 410; G = X = 790

C. A = T = 510; G = X = 690 D. A = T = 310; G = X = 890.

Câu 3: Mã di truyền có những đặc điểm nào sau đây?

  1. Mã di truyền mỗi loài có đặc điểm riêng biệt và đặc trưng
  2. Mã di truyền có tính liên tục
  3. Trên mARN, mã di truyền được đọc theo chiều 5/ - 3/
  4. Mã di truyền có tính dư thừa
  5. Mã di truyền có tính đặc hiệu
  6. Mã di truyền có tính phổ biến
  7. Mã di truyền có tính độc lập

Phương án đúng là?

A. 1, 2, 3, 4, 5, 6, 7 B. 1, 2, 3, 4, 5, 6 C. 2, 3, 4, 5, 6 D. 2, 3, 4, 5, 6, 7

Câu 4: Quá trình tự nhân đôi của ADN có các đặc điểm:

  1. Diễn ra ở trong nhân, tại kì trung gian của quá trình phân bào.
  2. Diễn ra theo nguyên tắc bổ sung và nguyên tắc bán bảo toàn.
  3. Cả hai mạch đơn đều làm khuôn để tổng hợp mạch mới.
  4. Đoạn okazaki được tổng hợp theo chiều 5/ → 3/.
  5. Khi một phân tử ADN tự nhân đôi 2 mạch mới được tổng hợp đều được kéo dài liên tục với sự phát triển của chạc chữ Y
  6. Qua một lần nhân đôi tạo ra hai ADN con có cấu trúc giống ADN mẹ.

Phương án đúng là:

A. 1, 2, 3, 4, 5. B. 1, 2, 4, 5, 6. C. 1, 3, 4, 5, 6. D. 1, 2, 3, 4, 6.

Câu 5: Phép lai một tính trạng của Men Đen có bao nhiêu sơ đồ lai

A. 3 B. 6 C. 4 D. 5

Câu 6: Khi nói về quá trình dịch mã, những phát biểu nào sau đây đúng?

(1) Dịch mã là quá trình tổng hợp prôtêin, quá tình này chỉ diễn ra trong nhân của tế bào nhân thực.

(2) Quá trình dịch mã có thể chia thành hai giai đoạn là hoạt hoá axit amin và tổng hợp chuỗi pôlipeptit.

(3) Trong quá trình dịch mã, trên mỗi phân tử mARN thường có một số ribôxôm cùng hoạt động.

(4) Quá trình dịch mã kết thúc khi ribôxôm tiếp xúc với côđon 5'UUG3' trên phân tử mARN

A. (2), (3). B. (1), (4). C. (2), (4) D.(l), (3)

Câu 7: Phép lai AaBb x AABb phân li độc lập cho tỉ lệ kiểu hình

A. 1:1 B. 1:1:1:1 C. 3:3:1:1 D. 3:1

Câu 8: Trong mô hình cấu trúc của opêron Lac, vùng vận hành là nơi

A. chứa thông tin mã hoá các axit amin trong phân tử prôtêin cấu trúc.

B. ARN pôlimeraza bám vào và khởi đầu phiên mã.

C. prôtêin ức chế có thể liên kết làm ngăn cản sự phiên mã.

D. mang thông tin quy định cấu trúc prôtêin ức chế.

Câu 9: Thành phần nào sau đây không thuộc opêron Lac?

A. Vùng vận hành (O) B. Vùng khởi động (P)

C. Gen điều hoà (R) D. Các gen cấu trúc (Z, Y, A)

Câu 10: Một gen ở sinh vật nhân thực dài 408nm và gồm 3200 liên kết hiđrô. Gen này bị đột biến thay thế một cặp A - T bằng một cặp G - X. Số nuclêôtit loại timin (T) và guanin (G) của gen sau đột biến là:

A. T = 801; G = 399. B. T = 799; G = 401.

C. T = 399; G = 801. D. T = 401;G = 799.

Câu 11: Hoá chất gây đột biến nhân tạo 5-brôm uraxin (5BU) thường gây đột biến gen dạng

A. thay thế cặp G-X bằng cặp A-T. B. thay thế cặp G-X bằng cặp X-G.

C. thay thế cặp A-T bằng cặp T-A. D. thay thế cặp A-T bằng cặp G-X.

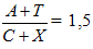
Câu 12: Gen B có 900 nuclêôtit loại ađênin (A) và có tỉ lệ Đề thi giữa học kì 1 môn Sinh học lớp 12 trường THPT Phan Ngọc Hiển, Cà Mau năm 2015 - 2016. Gen B bị đôt biến dạng thay thể một cặp G - X bằng một cặp A - T trở thành alen b. Tổng số liên kết hiđrô của alen b là

A. 3599. B. 3600. C. 3899. D. 3601.

Câu 13: Trong một lần nguyên phân của một tế bào ở thể lưỡng bội, một nhiễm sắc thể của cặp số 3 không phân li, các nhiễm sắc thế khác phân li bình thường. Kết quả của quá trình này có thể tạo ra các tế bào con có bộ nhiễm sắc thể là:

A. 2n + 1 và 2n - 1. B. 2n + 1 và 2n. C. 2n + 1 và 3n. D. 2n - 1 và 2n.

Cây 14: Nếu thế hệ F1 tứ bội ♂ AAaa X ♀ AAaa. Trong trường hợp giảm phân, thụ tinh bình thường thì tỉ lệ kiểu gen ở thế hệ F2 sẽ là

A. 1 aaaa : 8AAAA: 8Aaaa : 18 AAaa : 1 AAAA

B. 1 AAAA : 8 AAa : 18 AAAa : 8Aaaa : 1aaaa,

C. 1 aaaa : 18 AAaa : 8 AAa : 8Aaaa : 1AAAA.

D. 1 AAAA : 8 AAAa :18 AAaa: 8Aaaa : 1aaaa.

Câu 15: Đậu Hà lan bình thường có bộ NST lưỡng bội 2n = 14. Cây đậu có tông số NST trong tế bào bằng 21 được gọi là thể

A. tam nhiễm. B. đa bội. C. tam bội. D. dị bội.

(Còn tiếp)

Đáp án đề thi giữa học kì 1 môn Sinh học lớp 12

1A

2B

3C

4D

5B

6A

7D

8C

9C

10A

11D

12A

13A

14C

15D

16B

17B

18B

19C

20B

21B

22B

23C

24A

25A

26A

27A

28A

29C

30D

Chọn file muốn tải về:
Đóng Chỉ thành viên VnDoc PRO/PROPLUS tải được nội dung này!
Đóng
79.000 / tháng
Đặc quyền các gói Thành viên
PRO
Phổ biến nhất
PRO+
Tải tài liệu Cao cấp 1 Lớp
30 lượt tải tài liệu
Xem nội dung bài viết
Trải nghiệm Không quảng cáo
Làm bài trắc nghiệm không giới hạn
Mua cả năm Tiết kiệm tới 48%

Có thể bạn quan tâm

Xác thực tài khoản!

Theo Nghị định 147/2024/ND-CP, bạn cần xác thực tài khoản trước khi sử dụng tính năng này. Chúng tôi sẽ gửi mã xác thực qua SMS hoặc Zalo tới số điện thoại mà bạn nhập dưới đây:

Số điện thoại chưa đúng định dạng!
Số điện thoại này đã được xác thực!
Bạn có thể dùng Sđt này đăng nhập tại đây!
Lỗi gửi SMS, liên hệ Admin
Sắp xếp theo
🖼️

Sinh học lớp 12

Xem thêm
🖼️

Gợi ý cho bạn

Xem thêm