Đề thi giữa học kì 1 môn Toán (đại số) lớp 10 trường THPT Ngọc Tảo, Hà Nội năm học 2015 - 2016
Đề kiểm tra giữa học kì 1 môn Toán lớp 10
Đề thi giữa học kì 1 môn Toán (đại số) lớp 10 trường THPT Ngọc Tảo, Hà Nội năm học 2015 - 2016. Tài liệu giúp các bạn học sinh tăng cường kiến thức, kỹ năng làm bài để đạt được kết quả cao trong kì thi sắp tới. Mời các bạn tham khảo.
Đề thi giữa học kì 1 môn Toán lớp 10 trường THPT Thuận Thành số 3, Bắc Ninh năm học 2015 - 2016
Đề thi giữa học kì 1 môn Toán lớp 10 trường THPT Đa Phúc, Hà Nội năm học 2014 - 2015
| SỞ GD&ĐT HÀ NỘI TRƯỜNG THPT NGỌC TẢO |
ĐỀ THI GIỮA HỌC KÌ 1 NĂM HỌC 2015 - 2016 MÔN: TOÁN ĐẠI SỐ - LỚP 10 Thời gian làm bài: 45 phút |
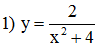
Bài 1 (3,0 điểm): Tìm tập xác định của các hàm số
![]()
Bài 2 (2,0 điểm)
Tìm hàm số y = x2 + bx + c biết đồ thị của hàm số là một parabol có đỉnh là I(1;2)
Bài 3 (4,0 điểm): Giải các phương trình sau
1)
= 2x + 3
2)
= x + 2
3)
= x2 + x + 1
Bài 4 (1,0 điểm)
Tìm hai điểm phân biệt đối xứng với nhau qua Oy và cùng thuộc đồ thị hàm số y = x4 - x3 - 2x2 + 4x - 8
--------Hết---------
| SỞ GD&ĐT HÀ NỘI TRƯỜNG THPT NGỌC TẢO |
ĐỀ THI GIỮA HỌC KÌ 1 NĂM HỌC 2015 - 2016 MÔN: TOÁN ĐẠI SỐ - LỚP 10 Thời gian làm bài: 45 phút |
Đề số 2
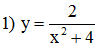
Bài 1 (3,0 điểm): Tìm tập xác định của hàm số
![]()
Bài 2 (2,0 điểm)
Tìm hàm số y = x2 + bx + c biết đồ thị của hàm số là một parbol có đỉnh là I(-1;3)
Bài 3 (4,0 điểm): Giải các phương trình
1)
= 2x - 3
2)
= x + 2
3)
= x2 + x + 1
Bài 4 (1,0 điểm):
Tìm hai điểm phân biệt đối xứng với nhau qua Oy và cùng thuộc đồ thị hàm số y = -x4 - x3 + 8x2 + 9x + 9
-------Hết-------
Đáp án đề thi giữa học kì 1 môn Toán đại số lớp 10


