Đề thi giữa học kì 1 môn Toán lớp 10 trường THPT Lý Thái Tổ, Bắc Ninh năm học 2016 - 2017
Đề thi giữa học kì 1 môn Toán lớp 10
Đề thi giữa học kì 1 môn Toán lớp 10 trường THPT Lý Thái Tổ, Bắc Ninh năm học 2016 - 2017 gồm 6 câu tự luận Toán 10, giúp các bạn ôn thi giữa kì I một cách chủ động và hiệu quả. Đáp án được đưa ra cuối đề thi, mời các bạn tham khảo.
Đề thi giữa học kì 1 môn Toán lớp 10 trường THPT Thuận Thành 3, Bắc Ninh năm học 2016 - 2017
Đề thi giữa học kì 1 môn Hóa học lớp 10 trường THPT Lý Thái Tổ, Bắc Ninh năm học 2016 - 2017
|
SỞ GD & ĐT BẮC NINH TRƯỜNG THPT LÝ THÁI TỔ |
ĐỀ THI GIỮA HỌC KỲ I NĂM HỌC 2016 - 2017 Môn: TOÁN, Khối 10. Thời gian: 90 phút, không kể thời gian phát đề. Ngày thi 29/10/2016 |
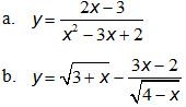
Câu 1 (2,0 điểm). Tìm tập xác định của các hàm số sau:

Câu 2 (2,0 điểm). Khảo sát sự biến thiên và vẽ đồ thị hàm số y = x2 - 4x + 3.
Câu 3 (2,0 điểm).
a. Xác định m và n để đồ thị hàm số y = mx + n đi qua các điểm A(1; -5) và B(5; 3)
b. Lập phương trình Parabol (P) có đỉnh là I(3; -4) và đi qua điểm C(0; 5)
Câu 4 (1,0 điểm). Cho tứ giác ABCD có O là trung điểm cạnh AB. Chứng minh rằng:
![]()
Câu 5 (2,0 điểm). Cho tam giác ABC. Gọi M, N, P lần lượt là các điểm thỏa mãn:
![]()
a. Hãy biểu diễn
theo ![]()
b. Chứng minh rằng M, N, P thẳng hàng.
Câu 6 (1,0 điểm).
a. Tìm m để hàm số y = (m + 2)x2 - 4(m - 3)x + m là hàm số chẵn.
b. Tìm m lớn hơn 2 để giá trị lớn nhất của hàm số y = 2x2 - 8mx + 3 trên [-1; 4] bằng 45.
Đáp án đề thi giữa học kì 1 môn Toán lớp 10


