Đề thi giữa học kì 1 môn Toán lớp 11 trường THPT chuyên Lương Thế Vinh, Đồng Nai năm học 2016 - 2017
Đề thi giữa học kì 1 môn Toán lớp 11
Đề thi giữa học kì 1 môn Toán lớp 11 trường THPT chuyên Lương Thế Vinh, Đồng Nai năm học 2016 - 2017. Đây là tài liệu tham khảo hay dành cho quý thầy cô cùng các bạn học sinh nhằm phục vụ việc ôn tập và củng cố lại kiến thức môn Toán chuẩn bị cho kì thi giữa học kì 1 sắp tới. Mời các bạn tham khảo.
Đề thi giữa học kì 1 môn Toán lớp 11 trường THPT Đông Sơn 2, Thanh Hóa năm học 2016 - 2017
Đề thi giữa học kì 1 môn Toán lớp 11 trường THPT Giao Thủy, Nam Định năm học 2016 - 2017
| SỞ GD&ĐT ĐỒNG NAI TRƯỜNG THPT CHUYÊN LƯƠNG THẾ VINH |
ĐỀ KIỂM TRA GIỮA HỌC KÌ I NĂM HỌC 2016 - 2017 MÔN: TOÁN - LỚP 11 Thời gian làm bài: 90 phút |
Đề có 10 câu, mỗi câu 1 điểm
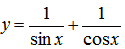
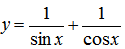
Câu 1: Tìm tập xác định của hàm số: ![]()
Câu 2: Giải phương trình: sin2x – cosx = 0
Câu 3: Giải phương trình: 2sin2x – sinx – 3 = 0
Câu 4: Giải phương trình: tan3x – tanx = 0
Câu 5: Giải phương trình: ![]()
Câu 6: Có bao nhiêu số tự nhiên gồm 4 chữ số đôi một khác nhau được tạo thành từ các chữ số: 0, 1, 2, 3, 4, 5, 6, 7, 8, 9 sao cho chữ số hàng chục luôn là chữ số 9
Câu 7: Trong mặt phẳng tọa độ Oxy cho 2 đường thẳng d1: x + y + 1 = 0 và d2: x – 3y + 2 = 0. Hãy chỉ ra một phép tịnh tiến (nếu có) để biến d1 thành d2
Câu 8: Trong mặt phẳng tọa độ Oxy cho 2 đường tròn (I): (x – 1)2 + (y – 2)2 = 4 và (E): (x + 1)2 + (y – 5)2 = 9. Hãy chỉ ra một phép quay (nếu có) để biến (I) thành (E)
Câu 9: Trong mặt phẳng tọa độ Oxy cho 2 đường tròn (H): (x – 3)2 + (y – 1)2 = 4 và (G): (x – 2)2 + (y + 4)2 = 4. Hãy chỉ ra một phép vị tự tỉ số k = -3 (nếu có) để biến (H) thành (G)
Câu 10: Trong mặt phẳng tọa độ Oxy cho đường thẳng d: x – y + 1 = 0. Viết phương trình đường thẳng d' là ảnh của d qua phép tịnh tiến theo vectơ
----- HẾT ----
Đáp án đề thi giữa học kì 1 môn Toán lớp 11


