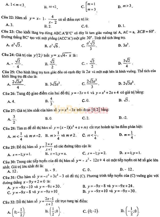
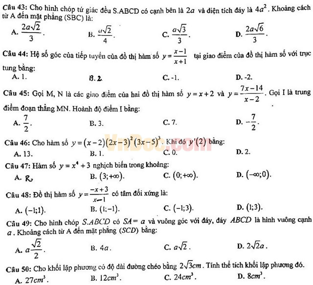
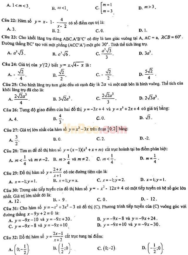
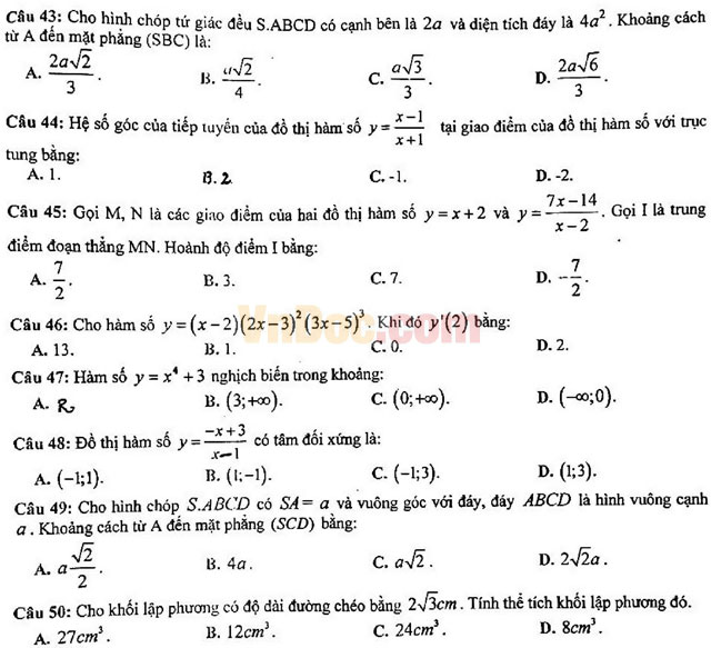
Đề thi giữa học kì 1 môn Toán lớp 12 trường THPT Chu Văn An năm học 2016 - 2017
Đề kiểm tra giữa học kì I môn Toán lớp 12
Lớp:
Lớp 12
Môn:
Toán
Dạng tài liệu:
Đề thi
Thời gian:
Học kì 1
Loại File:
PDF
Phân loại:
Tài liệu Tính phí
Đề thi giữa học kì 1 môn Toán lớp 12
Đề thi giữa học kì 1 môn Toán lớp 12 trường THPT Chu Văn An năm học 2016 - 2017 tổng hợp kiến thức theo các chủ đề quan trọng, những câu hỏi thường xuyên xuất hiện trong các đề thi những năm gần đây. Thêm vào đó, cấu trúc câu hỏi cũng được các giáo viên có chuyên môn cao cập nhật theo xu hướng ra đề mới nhất của Bộ GD&ĐT. Mời các bạn cùng tham khảo.
Đề thi giữa học kì 1 môn Toán lớp 12 trường THPT Thuận Thành 3, Bắc Ninh năm học 2016 - 2017
ĐỀ THI GIỮA HỌC KỲ 1 - TRƯỜNG CHU VĂN AN
MÔN TOÁN LỚP 12 - NĂM HỌC 2016 - 2017




