Đề thi giữa học kì 2 môn Toán lớp 10 trường THPT Đào Duy Từ, Thanh Hóa năm học 2014 - 2015
Đề thi giữa học kì 2 môn Toán lớp 10
Đề thi giữa học kì 2 môn Toán lớp 10 trường THPT Đào Duy Từ, Thanh Hóa năm học 2014 - 2015 là đề kiểm tra học kì II lớp 10 môn Toán có đáp án dành cho quý thầy cô, các bạn học sinh tham khảo. Tài liệu được VnDoc.com sưu tầm và đăng tải, hi vọng sẽ giúp các em ôn tập học kì II môn Toán hiệu quả.
Đề thi giữa học kì 2 môn Địa lý lớp 10 trường THPT Đào Duy Từ, Thanh Hóa năm học 2014 - 2015
Đề thi giữa học kì 2 môn Ngữ văn lớp 10 trường THPT Đào Duy Từ, Thanh Hóa năm học 2014 - 2015
|
SỞ GIÁO DỤC VÀ ĐÀO TẠO THANH HÓA Trường THPT Đào Duy Từ |
ĐỀ KIỂM TRA CHẤT LƯỢNG GIỮA KÌ II NĂM HỌC 2014 - 2015 Môn thi: Toán học - Khối: 10 Thời gian làm bài: 90 phút (không kể thời gian giao đề) |
Câu I. (2,0 điểm). Cho bất phương trình: mx2 - 5mx + 4 ≥ 0 (1)
- Giải bất phương trình (1) với m = 1
- Tìm m để bất phương trình (1) nghiệm đúng ∀x ∈ R.
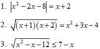
Câu II. (3,0 điểm). Giải các phương trình và bất phương trình sau:

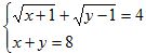
Câu III. (1,0 điểm). Giải hệ phương trình sau: ![]()
Câu IV. (2,0 điểm). Trong mặt phẳng với hệ tọa độ Oxy cho điểm M(2; -3) và hai đường thẳng
![]()
- Lập phương trình tổng quát của đường thẳng đi qua M và vuông góc với d2
- Tìm tọa độ điểm I thuộc đường thẳng d1 sao cho khoảng cách từ I đến đường thẳng d2 bằng 1/√2.
Câu V. (1,0 điểm). Trong mặt phẳng với hệ tọa độ Oxy, cho điểm M(√3/2; 3/2) và đường thẳng (d): x + √3y - √3 = 0. Tìm tọa độ hai điểm A, B thuộc đường thẳng d sao cho tam giác MAB vuông tại M và góc MAB = 60o, biết rằng hoành độ của điểm A nhỏ hơn điểm B.
Câu VI. (1,0 điểm). Cho a, b, c là ba số thực dương thỏa mãn abc = 1. Chứng minh rằng:
![]()
Đáp án đề thi giữa học kì 2 môn Toán lớp 10

