Đề thi giữa học kì 2 môn Toán lớp 10 trường THPT Đoàn Thượng, Hải Dương năm học 2016 - 2017
Đề thi giữa học kì 2 môn Toán lớp 10
Đề thi giữa học kì 2 môn Toán lớp 10 trường THPT Đoàn Thượng, Hải Dương năm học 2016 - 2017 gồm 2 mã đề chẵn, lẻ, có đáp án đi kèm được VnDoc.com sưu tầm và giới thiệu tới quý thầy cô và các bạn học sinh tham khảo, nhằm chuẩn bị sẵn sàng cho các bài kiểm tra sắp diễn ra đạt kết quả cao.
Đề thi giữa học kì 2 môn Toán lớp 10 trường THPT Hiệp Bình, Hồ Chí Minh năm 2014 - 2015
Đề thi giữa học kì 2 môn Toán lớp 10 trường THPT Thủ Đức, TP. HCM năm 2015 - 2016
|
SỞ GD&ĐT HẢI DƯƠNG TRƯỜNG THPT ĐOÀN THƯỢNG |
ĐỀ KIỂM TRA 45 PHÚT ĐẠI SỐ 10 - BÀI SỐ 4 NĂM HỌC 2016 – 2017 Thời gian làm bài: 45 phút |
ĐỀ LẺ (Dành cho thí sinh có số báo danh lẻ)
Câu 1: (3,0 điểm). Giải bất phương trình và hệ bất phương trình sau:
![]()
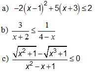
Câu 2: (4,0 điểm). Giải các bất phương trình sau:

Câu 3: (2,0 điểm). Tìm các giá trị của m để bất phương trình sau vô nghiệm:
f(x) = (m + 1)x2 - 2(3 - 2m)x + m + 1 ≥ 0
Câu 4: (1,0 điểm). Cho ba số a, b, c dương thỏa mãn a + b + c = 3. Chứng minh rằng:
![]()
----------HẾT----------
|
SỞ GD&ĐT HẢI DƯƠNG TRƯỜNG THPT ĐOÀN THƯỢNG |
ĐỀ KIỂM TRA 45 PHÚT ĐẠI SỐ 10 - BÀI SỐ 4 NĂM HỌC 2016 – 2017 Thời gian làm bài: 45 phút |
ĐỀ CHẴN (Dành cho thí sinh có số báo danh chẵn)
Câu 1: (3,0 điểm). Giải bất phương trình và hệ bất phương trình sau:
![]()
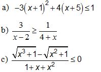
Câu 2: (4,0 điểm). Giải các bất phương trình sau:

Câu 3: (2,0 điểm). Tìm các giá trị của m để bất phương trình sau vô nghiệm:
f(x) = (m - 1)x2 + 2(3 + 2m)x + m - 1 ≥ 0
Câu 4: (1,0 điểm). Cho ba số a, b, c dương thỏa mãn a + b + c = 3. Chứng minh rằng:
![]()
Đáp án đề thi giữa học kì 2 môn Toán lớp 10
ĐÁP ÁN: TOÁN 10 ĐỀ LẺ


ĐÁP ÁN: TOÁN 10 ĐỀ CHẴN

