Đề thi giữa học kì 2 môn Toán lớp 10 trường THPT Hiệp Bình, Hồ Chí Minh năm 2014 - 2015
Đề thi giữa học kì 2 môn Toán lớp 10 có đáp án
Đề thi giữa học kì 2 môn Toán lớp 10 trường THPT Hiệp Bình, Hồ Chí Minh năm 2014 - 2015 gồm 6 câu hỏi tự luận có đáp án đi kèm. Đây là tài liệu ôn tập môn Toán hữu ích dành cho các bạn học sinh, giúp các bạn củng cố và luyện tập cho kì thi cuối năm hiệu quả. Mời các bạn tham khảo.
Bộ đề thi giữa học kì 2 môn Toán lớp 10 (Có đáp án)
Bảng công thức lượng giác dùng cho lớp 10 - 11 - 12
Đề thi học kì 2 môn Toán lớp 10 trường THPT Đa Phúc, Hà Nội năm 2015
Đề thi học kì 2 môn Toán lớp 10 trường THPT Gia Định, TP. Hồ Chí Minh năm học 2013 - 2014
TRƯỜNG THPT HIỆP BÌNH
TỔ TOÁN
ĐỀ KIỂM TRA GIỮA HỌC KÌ II - NĂM HỌC 2014 - 2015
MÔN TOÁN – KHỐI 10
Thời gian: 60 phút (không kể thời gian phát đề)
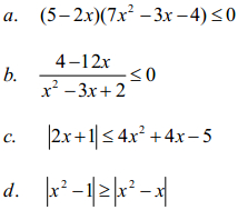
Bài 1 (4điểm ): Giải các bất phương trình sau:

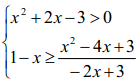
Bài 2 (1 điểm): Giải hệ bất phương trình sau:

Bài 3 (1 điểm): Cho phương trình: x2 - 4mx + m + 3 = 0
Định m để phương trình trên có 2 nghiệm phân biệt
Bài 4 (1 điểm): Cho tam giác ABC biết cạch BC = a = 7, CA = b = 6, C^ = 60o
Tính độ dài cạch AB và diện tích của tam giác ABC.
Bài 5 (2 điểm): Trong mặt phẳng Oxy, cho tam giác ABC có A (-2;3), B (1;-1), C (2;1).
a. Viết phương trình tham số đường thẳng chứa cạnh BC của tam giác ABC.
b. Viết phương trình tổng quát đường thẳng d đi qua A và vuông góc với d': 3x - 2y + 1 =0.
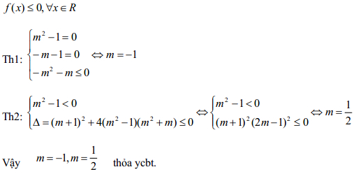
Bài 6 (1 điểm): Cho f(x) = (-1 + m2)x2 - (1 + m)x - m - m2
Tìm tất cả các giá trị của tham số m để f(x) ≤ 0, ∀x ∈ R
Đáp án đề thi giữa học kì 2 môn Toán lớp 10
Đề thi giữa học kì 2 môn Ngữ văn lớp 10 trường THPT Đào Duy Từ, Thanh Hóa năm học 2014 - 2015
Đề thi tháng môn Toán lớp 10 trường THPT Ngô Sĩ Liên, Bắc Giang năm 2015 - 2016 (Lần 2)
Bài 1.a

Bài 1.b

Bài 1.c

Bài 1.d

Bài 2

Bài 3

Bài 4

Bài 5.a

Bài 5.b
Đường thẳng (d') có vtpt là (3;-2) suy ra vtcp của đường thẳng (d') là (2;3)
Đường thẳng (d) đia qua A(-2;3) có vtpt là (2;3)
Vậy phương trình tổng quát của (d) là 2x + 3y - 5=0
Bài 6
