Đề thi học kì 2 môn Toán lớp 10 trường THPT Đa Phúc, Hà Nội
Đề thi học kì 2 lớp 10 môn Toán này là đề thi học kì 2 môn Toán lớp 10 trường THPT Đa Phúc, Hà Nội năm 2015 có đáp án đi kèm. Đề thi hết học kì 2 lớp 10 môn Toán này là tài liệu ôn tập môn Toán hữu ích dành cho các bạn học sinh lớp 10, giúp các bạn củng cố và nâng cao kiến thức môn Toán hiệu quả và chuẩn bị tốt nhất cho kì thi cuối năm sắp tới. Thư viện đề thi VnDoc xin mời các bạn cùng tham khảo.
Đề thi học kì 2 môn Toán lớp 10 trường THPT Gia Định, TP. Hồ Chí Minh năm học 2013 - 2014
Đề kiểm tra học kì 2 môn Toán lớp 10 năm học 2014-2015 trường THPT Lương Ngọc Quyến, Thái Nguyên
Do đây là đề thi học kì 2 lớp 10 môn toán trường THPT Đa Phúc đã cũ, VnDoc mời bạn tham khảo mẫu đề thi học kì 2 môn toán lớp 10 mới nhất.
Đề thi học kì 2 môn Toán lớp 10
Đề thi học kỳ 2 môn toán lớp 10 THPT Đa Phúc
|
TRƯỜNG THPT ĐA PHÚC |
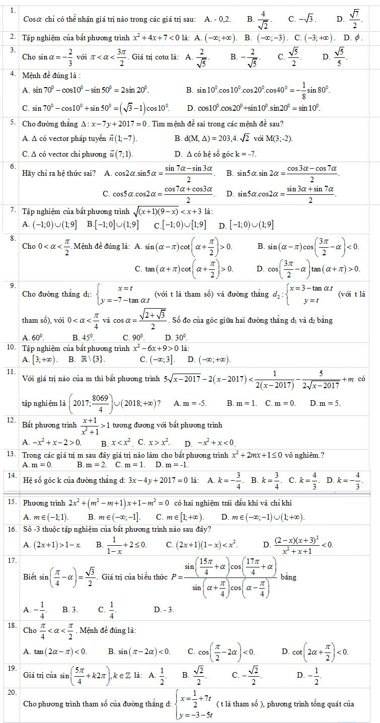
ÐỀ KIỂM TRA HỌC KỲ 2 Môn: Toán - Khối 10 - Thời gian: 90 phút |
Mã đề |
268 |
Họ và tên: . . . . . . . . . . . . . . . . . . . . . . . . . . . . Lớp: . . . . . . . . . . . . Số báo danh: . . . . . . . . . . . .



Đáp án đề thi học kỳ 2 môn toán lớp 10 THPT Đa Phúc
|
1 |
A |
11 |
D |
21 |
A |
|
2 |
D |
12 |
C |
22 |
C |
|
3 |
C |
13 |
A |
23 |
B |
|
4 |
C |
14 |
B |
24 |
C |
|
5 |
D |
15 |
D |
25 |
C |
|
6 |
A |
16 |
C |
26 |
C |
|
7 |
D |
17 |
D |
27 |
A |
|
8 |
A |
18 |
A |
28 |
C |
|
9 |
A |
19 |
C |
29 |
D |
|
10 |
B |
20 |
A |
30 |
B |
|
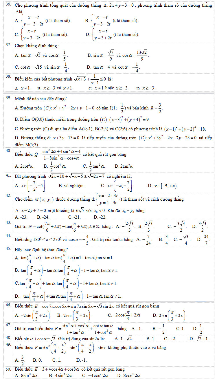
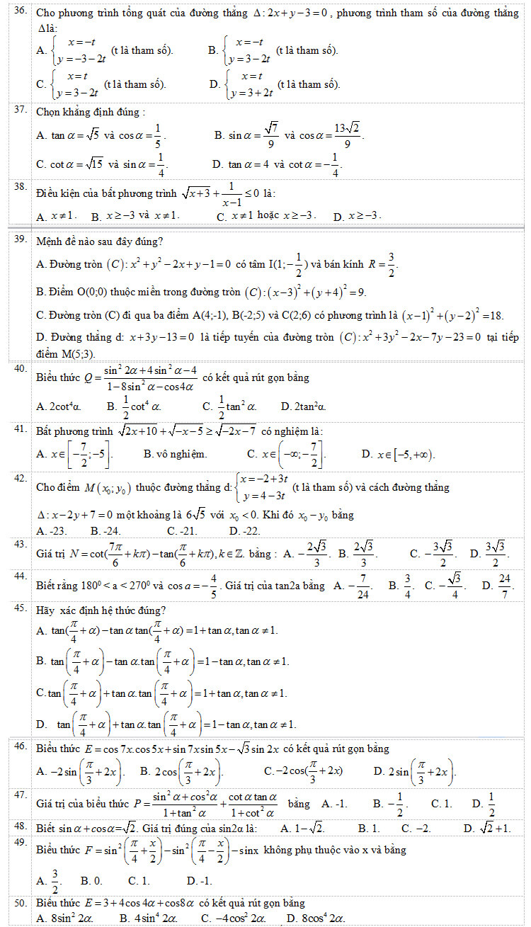
31 |
C |
39 |
A |
47 |
C |
|
32 |
D |
40 |
B |
48 |
B |
|
33 |
B |
41 |
B |
49 |
B |
|
34 |
D |
42 |
B |
50 |
D |
|
35 |
B |
43 |
B |
|
|
|
36 |
C |
44 |
D |
|
|
|
37 |
C |
45 |
A |
|
|
|
38 |
B |
46 |
B |
|
Đề thi học kỳ 2 môn toán lớp 10 năm 2015
|
TRƯỜNG THPT ĐA PHÚC Năm học 2014 - 2015
|
ĐỀ KIỂM TRA HỌC KỲ II
MÔN: Toán - LỚP 10 (Thời gian: 90 phút) |
Câu 1.(3,0 điểm) Giải các bất phương trình sau
![]()
Câu 2.(2,5 điểm)

Câu 3.(4,0 điểm)
Trong mặt phẳng Oxy cho hai điểm A(1; 0), B(2; 3) và đường tròn (C): x2 + y2 - 2x + 2y + 1 = 0
a). Viết phương trình tham số của đường thẳng AB.
b). Xác định tâm I và bán kính R của đường tròn (C). Viết phương trình đường thẳng đi qua I và vuông góc với AB.
c). Chứng tỏ điểm A nằm trên đường tròn (C). Khi đó, viết phương trình tiếp tuyến của đường tròn (C) tại điểm A.
d). Viết phương trình đường tròn (C1) đi qua hai điểm A, B và đồng thời tiếp xúc với đường tròn (C).
Câu 4. (0,5 điểm) Cho x, y là hai số thực thỏa mãn 5x2 + 8xy + 5y2 = 6. Tìm giá trị lớn nhất của biểu thức T = x2 + y2.
Đáp án đề thi học kì 2 môn Toán lớp 10
Câu 1a

Câu 1b

Câu 1c

Câu 2a

Câu 2b

(Còn tiếp)