Đề thi - Đáp án thi tuyển sinh lớp 10 THPT TP Hà Nội năm 2014 - 2015
Đề thi tuyển sinh lớp 10 THPT TP Hà Nội
Đề thi - Đáp án thi tuyển sinh lớp 10 THPT TP Hà Nội năm 2014 - 2015 là tổng hợp đề thi của 2 môn thi chính là môn Ngữ văn và môn Toán giúp các em học sinh ôn thi, tự kiểm tra, hệ thống kiến thức bản thân, căn chỉnh thời gian để chuẩn bị tốt nhất cho kỳ thi tuyển sinh vào lớp 10 diễn ra sắp tới.
Đề thi thử vào lớp 10 năm 2014 trường THPT Nguyễn Huệ, Hà Nội
Đề thi thử vào lớp 10 môn Toán thành phố Hà Nội năm học 2015 - 2016
Đề thi thử vào lớp 10 chuyên môn Toán trường THPT chuyên Nguyễn Huệ lần 1 năm 2016 - 2017
Đề thi tuyển sinh vào lớp 10 môn Ngữ Văn
Phần I (7 điểm)
Dưới đây là trích đoạn trong chuyện ngắn Chiếc lược ngà (Nguyễn Quang Sáng):
"Trong bữa cơm đó, anh Sáu gắp một cái trứng cá to vàng để vào chén nó. Nó liền lấy đũa xoi vào chén, để đó rồi bất thần hất cái trứng ra, cơm văng tung tóe cả mâm. Giận quá và không kịp suy nghĩ, anh vung tay đánh vào mông nó và hét lên:
- Sao mày cứng đầu quá vậy, hả?"
(Trích Ngữ văn 9, tập một, NXB Giáo dục 2013)
- Chiếc lược ngà được viết năm nào? Ghi lại từ mang màu sắc Nam Bộ trong đoạn trích.
- Những biểu hiện của nhân vật bé Thu ở trên nói lên thái độ gì và qua đó bộc lộ tình cảm như thế nào đối với nhân vật ông Sáu? Lời kể được in nghiêng trong đoạn trích trên giúp em nhận biết mục đích nói ở câu văn có hình thức nghi vấn sau đó là gì?
- Viết một đoạn văn (khoảng 15 câu) theo cách lập luận quy nạp làm rõ tình cảm sâu nặng của bé Thu đối với người cha trong chuyện ngắn trên, ở đó sử dụng câu có thành phần biệt lập và phép lặp để liên kết (gạch dưới thành phần biệt lập và từ ngữ dùng làm phép lặp).
- Kể tên một tác phẩm khác ở chương trình Ngữ văn 9, trong đó có nhân vật người cha, vì chiến tranh xa cách, khi trở về, đứa con trai cũng hoài nghi, xa lánh. Từ cảnh ngộ của người cha trong 2 tác phẩm, em có suy ngẫm gì (không quá 5 dòng) về chiến tranh?
Phần II (3 điểm) Cho đoạn thơ:
"Con ơi tuy thô sơ da thịt
Lên đường
Không bao giờ nhỏ bé được
Nghe con."
(Y Phương, Nói với con, Ngữ văn 9, tập hai, NXB Giáo dục 2013)
1. Tìm thành phần gọi - đáp trong những dòng thơ trên.
2. Theo em, việc dùng từ phủ định trong dòng thơ "Không bao giờ nhỏ bé được" nhằm khẳng định điều gì?
Từ bài thơ trên và những hiểu biết xã hội, em hãy trình bày suy nghĩ (khoảng nửa trang giấy thi) về cội nguồn của mỗi con người, qua đó thấy được trách nhiệm của mỗi cá nhân trong tình hình đất nước hiện nay.
Đề thi tuyển sinh vào lớp 10 môn Toán
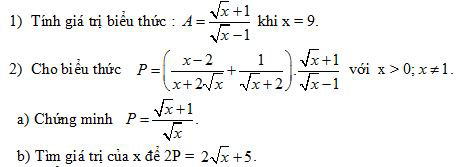
Bài I. (2,0 điểm).

Bài II. (2,0 điểm). Giải bài toán sau bằng cách lập phương trình:
Một phân xưởng theo kế hoạch cần phải sản xuất 1100 sản phẩm trong một số ngày quy định. Do mỗi ngày phân xưởng đó sản xuất vượt mức 5 sản phẩm nên phân xưởng đã hoàn thành kế hoạch sớm hơn thời gian quy định 2 ngày. Hỏi theo kế hoạch, mỗi ngày phân xưởng phải sản xuất bao nhiêu sản phẩm?
Bài III. (2,0 điểm).
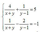
1, Giải hệ phương trình: 
2, Trên mặt phẳng tọa độ Oxy cho đường thẳng (d): y = - x + 6 và parabol (P): y = x².
a, Tìm tọa độ các giao điểm của (d) và (P).
b, Gọi A, B là giao điểm của (d) và (P). Tính diện tích tam giác OAB.
Bài IV. (3,5 điểm).
Cho nửa đường tròn (O; R) đường kính AB cố định. Vẽ đường kính MN của đường tròn (O; R) (M khác A, M khác B). Tiếp tuyến của đường tròn (O; R) tại B cắt cắt các đường thẳng AM, An lần lượt tại các điểm Q, P.
- Chứng minh tứ giác AMBN là hình chữ nhật.
- Chứng minh bốn điểm M, N, P, Q cùng thuộc một đường tròn.
- Gọi E là trung điểm của BQ. Đường thẳng vuông góc với OE tại O cắt PQ tại F. Chứng minh F là trung điểm của BP và ME // NF.
- Khi đường kính MN quay quanh tâm O và thỏa mãn điều kiện đề bài, xác định vị trí của đương kính MN để tứ giác MNPQ có diện tích nhỏ nhất.
Bài V. (0,5 điểm).
Với a, b, c là các số dương thỏa mãn điều kiện a + b + c = 2. Tìm giá trị nhỏ nhất của biểu thức:
![]()