Đề thi thử vào lớp 10 chuyên môn Toán trường THPT chuyên Nguyễn Huệ lần 1 năm 2016 - 2017
Đề thi thử vào lớp 10 chuyên môn Toán
Đề thi thử vào lớp 10 môn Toán trường THPT chuyên Nguyễn Huệ năm 2016 - 2017 có đáp án được VnDoc sưu tầm và đăng tải nhằm giúp các em học sinh có thêm nhiều tài liệu ôn thi vào lớp 10 môn Toán để tham khảo chuẩn bị tốt cho kì thi tuyển sinh sắp tới đây đạt kết quả cao. Mời các em cùng tham khảo.
Đề thi thử vào lớp 10 chuyên môn Sinh học trường THPT chuyên Nguyễn Huệ lần 1 năm 2016 - 2017
Đề thi thử vào lớp 10 chuyên môn Hóa học trường THPT chuyên Nguyễn Huệ, Hà Nội lần 1 năm 2016 - 2017
|
TRƯỜNG THPT CHUYÊN NGUYỄN HUỆ |
KỲ THI THỬ VÀO LỚP 10 CHUYÊN THPT LẦN THỨ NHẤT NĂM HỌC 2016 - 2017 Môn thi: TOÁN Thời gian làm bài: 150 phút (dùng cho thí sinh thi vào lớp chuyên Toán và chuyên Tin) |
Bài I (2,0 điểm)
1) Cho các số a, b, c khác 0 thỏa mãn ab + bc + ca = 0. Tìm giá trị biểu thức: ![]()
2) Tìm tất cả các cặp số nguyên dương (x, y) thỏa mãn: x2 + y2(x - y + 1) - (x - 1) = 22
Bài II (3,0 điểm)
1) Giải phương trình ![]()
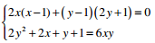
2) Giải hệ phương trình ![]()
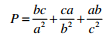
Bài III: (1,0 điểm) Cho a, b, c là các số thực dương. Chứng minh rằng: ![]()
Bài IV (3,0 điểm) Cho đường tròn (O, R), dây BC cố định và
=120o. Điểm A di động trên cung lớn
sao cho ΔABC nhọn. Hai đường cao BM và CN cắt nhau tại H. Gọi D là điểm đối xứng nhau với B qua M và E là điểm đối xứng với C qua N. Đường tròn (O1, R1) ngoại tiếp ΔABD và đường tròn (02, R2) ngoại tiếp ΔACE cắt nhau tại điểm thứ hai K.
1) Chứng minh rằng tứ giác BHCK nội tiếp.
2) Chứng minh rằng MN // O102 và ba điểm E, B, K thẳng hằng
3) Tìm vị trí của điểm A sao cho
nhỏ nhất
Bài V (1,0 điểm) Cho 2 ≤ a1 < a2< a3 <...< a15 ≤ 2016 là 15 số tự nhiên đôi cùng một nguyên tố cùng nhau. Chứng minh rằng trong 15 số tự nhiên đó luôn tồn tại ít nhất một số nguyên tố
Đáp án đề thi thử vào lớp 10 chuyên môn Toán

Đề thi thử vào lớp 10 môn Ngữ văn lần 1 trường THPT Chuyên Nguyễn Huệ năm 2016 - 2017