Đề thi thử vào lớp 10 môn Toán thành phố Hà Nội năm học 2015-2016
Đề thi thử vào lớp 10 môn Toán
Nhằm giúp các bạn học sinh tự ôn luyện kiến thức nhằm chuẩn bị tốt cho kì thi vào lớp 10 các trường THPT, VnDoc.com xin giới thiệu đề thi thử vào lớp 10 môn Toán thành phố Hà Nội năm học 2015-2016. Mời các bạn cùng tham khảo để đạt kết quả tốt trong kì thi tuyển sinh vào lớp 10 sắp tới.
Đã Có Đề thi tuyển sinh vào lớp 10 môn Toán thành phố Hà Nội năm học 2016 - 2017
Đề thi thử vào lớp 10 môn Ngữ văn thành phố Hà Nội năm học 2015-2016
Đề thi - Đáp án thi tuyển sinh lớp 10 THPT TP Hà Nội năm 2014 - 2015
|
SỞ GIÁO DỤC VÀ ĐÀO TẠO ĐỀ THI THỬ |
KỲ THI TUYỂN SINH VÀO LỚP 10 THPT |
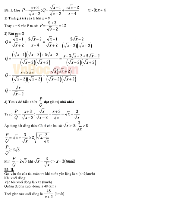
Bài 1 (2,5 điểm)

Bài 2 (2 điểm) Hai khối 8 và 9 của một trường THCS có 420 học sinh có học lực trên trung bình đạt tỉ lệ 84%. Khối 8 đạt tỉ lệ 80% là học sinh trên trung bình, khối 9 đạt 90%. Tính số học sinh của mỗi khối.
Bài 3 (1,5 điểm) Cho (P): y = x2 và (d) y = mx + 1
a. Tìm điểm cố định của (d)
b. Chứng minh rằng (d) luôn cắt (P) tại hai điểm phân biệt A và B nằm khác phía trục tung
c. Tìm m để diện tích tam giác OAB = 2
Bài 4 (3,5 điểm) Cho tứ giác ABCD nội tiếp đường tròn (O; R) (AB < CD). Gọi P là điểm chính giữa của cung nhỏ AB; DP cắt AB tại E và cắt CB tại K; CP cắt AB tại F và cắt DA tại I.
a. Chứng minh: Tứ giác CKID nội tiếp được và IK // AB.
b. Chứng minh: AP2 = PE .PD = PF . PC
c. Chứng minh: AP là tiếp tuyến của đường tròn ngoại tiếp tam giác AED.
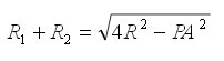
d. Gọi R1, R2 là các bán kính đường tròn ngoại tiếp các tam giác AED và BED.
Chứng minh:

Bài 5 (0,5 điểm): Cho -2 ≤ a, b, c ≤ a2 + b2 + c2 = 22. Tìm GTNN của P = a + b + c.
Đáp án đề thi thử vào lớp 10 môn Toán




Xem thêm đề thi vào lớp 10 các môn Toán, Văn, Tiếng Anh:
| Môn Toán | Môn Văn | Môn Tiếng Anh |
| Tải đề thi vào lớp 10 môn Toán | Tải đề thi vào lớp 10 môn Văn | Tải đề thi vào lớp 10 môn Tiếng Anh |