Đề thi tuyển sinh vào lớp 10 môn Toán năm học 2015-2016 Sở GD-ĐT Hà Nội
Đề thi tuyển sinh vào lớp 10 môn Toán
Ngày 11-6-2015, trên địa bàn thành phố Hà Nội sẽ diễn ra kỳ thi tuyển sinh vào lớp 10 THPT năm học 2015-2016. VnDoc.com xin giới thiệu đề thi tuyển sinh vào lớp 10 môn Toán năm học 2015-2016 Sở GD-ĐT Hà Nội đến các bạn tham khảo.
Đã có Đề thi tuyển sinh vào lớp 10 môn Toán thành phố Hà Nội năm học 2016 - 2017
Đề thi tuyển sinh vào lớp 10 môn Toán năm học 2015-2016 trường THPT Chuyên Ngoại ngữ, ĐHQGHN
Đề thi tuyển sinh vào lớp 10 môn Toán năm học 2015-2016 Sở GD-ĐT Nghệ An

Đáp án đề thi tuyển sinh vào lớp 10 môn Toán

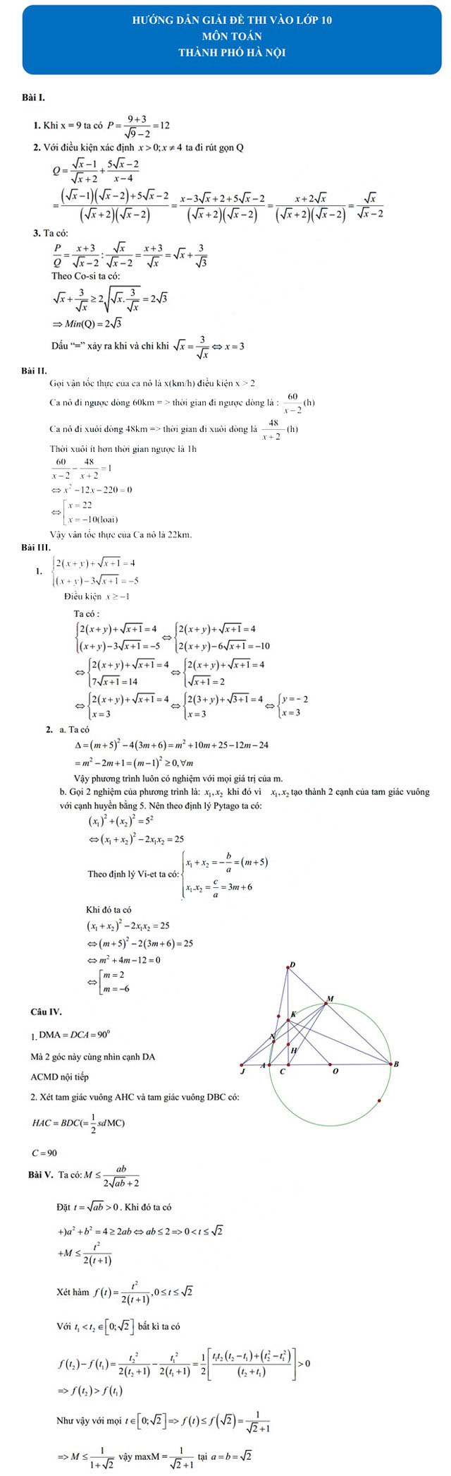
Bổ sung câu 3, 4 bài V
3) Chứng minh A, N, D thẳng hàng
Chứng minh được H là trực tâm ABD => AD ⊥ BH (0,25đ)
Vì AH ⊥BH và AD ⊥ BH nên A, N, D thẳng hàng (0,25đ)
*) Chứng minh tiếp tuyến tại N (0,25đ)
Gọi E là giao điểm của CK và tiếp tuyến tại N.
Ta có BN ⊥ DN, ON ⊥ EN => ∠DNE = ∠BNO
Mà ∠BNO = ∠OBN, ∠OBN =∠ EDN => ∠DNE = E∠DN
=> ΔDEN cân tại E => ED = EN (3)
Ta có ∠ENH = 90o - ∠END = 90o - ∠NDH = ∠EHN
=> ΔHEN cân tại E => EH = EN (4)
Từ (3) và (4) => E là trung điểm của HD (điều phải chứng minh) (0,25đ)
4) Chứng minh MN luôn đi qua điểm cố định
Gọi I là giao điểm của MN và AB; Kẻ IT là tiếp tuyến của nửa đường tròn với T là tiếp điểm => IN.IM = IT2 (5) (0,25đ)
Ta có: EM ⊥OM (vì ΔENO = ΔEMO và EN ⊥ON)
=> N, C, O, M cùng thuộc một đường tròn
=> IN.IM = IC.IO (5)
Từ (5) VÀ (6) => IC.IO = IT2 => ICT và ITO đồng dạng
=> CT ⊥ IO => T = K => I là giao điểm của tiếp tuyến tại K của nửa đường tròn và đường thẳng AB => I cố định => điều cần chứng minh (0,25đ)