Đề thi tuyển sinh vào lớp 10 môn Toán năm học 2015-2016 Sở GD-ĐT Nghệ An
Đề thi tuyển sinh vào lớp 10 môn Toán
Đề thi tuyển sinh vào lớp 10 môn Toán năm học 2015 - 2016 Sở GD-ĐT Nghệ An là đề thi vào lớp 10 môn Toán năm 2015 của tỉnh Nghệ An diễn ra vào sáng ngày 10/6/2015. VnDoc.com xin được giới thiệu tới các bạn tham khảo.
Tài liệu ôn thi vào lớp 10 môn Toán
Tuyển tập đề thi vào lớp 10 môn Ngữ văn các tỉnh năm học 2014 - 2015
Mời các bạn làm bài Đề thi thử vào lớp 10 môn Toán Trường THCS Trần Phú, Hải Phòng Online
| SỞ GD VÀ ĐT NGHỆ AN ĐỀ CHÍNH THỨC |
KỲ THI TUYỂN SINH VÀO LỚP 10 THPT NĂM HỌC 2015-2016 Ngày thi: 10/06/2015 |
Môn thi: TOÁN
(Thời gian: 120 phút, không kể thời gian giao đề)
Câu 1: (2,5 điểm)
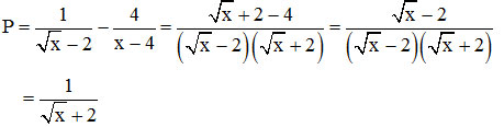
Cho biểu thức ![]()
a) Tìm điều kiện xác định và rút gọn biểu thức P
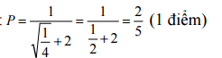
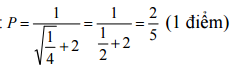
b) Tính giá trị của biểu thức P khi x = 1/4.
Câu 2: (1,5 điểm)
Số tiền mua 1 quả dừa và 1 quả thanh long là 25 nghìn đồng. Số tiền mua 5 quả dừa và 4 quả thanh long là 120 nghìn đồng. Hỏi giá mỗi quả dừa và giá mỗi quả thanh long là bao nhiêu. Biết rằng mỗi quả dừa có giá như nhau và mỗi quả thanh long có giá như nhau.
Câu 3: (2 điểm)
Cho phương trình x + 2(m + 1)x + m2 - 3 = 0 (1) (m là tham số)
a) Giải phương trình (1) với m = 2
b) Tìm m để phương trình (1) có hai nghiệm x1 và x2 sao cho x12 + x22 = 4.
Câu 4: (3 điểm)
Cho đường tròn (O) có dây BC cố định không đi qua tâm O. Điểm A chuyển động trên đường tròn (O) sao cho tam giác ABC có 3 góc nhọn. Kẻ các đường cao BE và CF của tam giác ABC. (E thuộc AC, F thuộc AB). Chứng minh rằng:
a) BCEF là tứ giác nội tiếp.
b) EF.AB=AE.BC
c) Độ dài đoạn thẳng EF không đổi khi A chuyển động
Câu 5: (1 điểm)
Cho các số thực dương x,y thỏa mãn x + y ≥ 3. Chứng minh rằng:

Đẳng thức xảy ra khi nào?
Đáp án đề thi tuyển sinh vào lớp 10 môn Toán
Câu 1.
a) ĐKXĐ: x ≥ 0, x ≠ 4.
Rút gọn:

b. x = 1/4 ∈ ĐKXĐ. Thay vào P, ta được:

Câu 2.
Gọi x, y (nghìn) lần lượt là giá của 1 quả dừa và 1 quả thanh long.
Điều kiện : 0 < x; y < 25.

Giải ra ta được : x = 20, y = 5 (thỏa mãn điều kiện bài toán).
Vậy: Giá 1 quả dừa 20 nghìn.
Giá 1 quả thanh long 5 nghìn.