Bộ đề thi vào lớp 10 môn Toán
Đề thi vào lớp 10 môn Toán có đáp án
Bộ đề thi vào lớp 10 THPT môn Toán năm học 2016 - 2017 được VnDoc sưu tầm và giới thiệu. Đề thi vào lớp 10 môn Toán này nhằm giúp các em học sinh lớp 9 có thêm tài liệu để củng cố kiến thức, luyện đề và rèn luyện kĩ năng giải Toán thi vào lớp 10. Tài liệu cung cấp các dạng bài tập toán đa dạng, phong phú sẽ giúp các em chuẩn bị sẵn sàng cho kì thi tuyển sinh vào THPT.
- Đề thi vào lớp 10 môn Ngữ văn (Chung) trường THPT Chuyên Sư phạm Hà Nội
- Tài liệu ôn thi vào lớp 10 môn Ngữ văn phần Tiếng Việt
- Đề thi vào lớp 10 môn Tiếng Anh Sở GD&ĐT tỉnh Yên Bái
- Tài liệu ôn thi vào lớp 10 môn Toán
- 21 Đề thi vào lớp 10 môn Toán
- Tổng hợp đề thi vào lớp 10 được tải nhiều nhất
- Tài liệu ôn thi vào lớp 10 môn toán chi tiết và đầy đủ các dạng bài tập
| TRƯỜNG THPT CHUYÊN NGUYỄN HUỆ |
ĐỀ KIỂM TRA KIẾN THỨC VÀO LỚP 10 CHUYÊN NĂM HỌC 2016 - 2017 LẦN THỨ III MÔN: TOÁN (Đề có một trang, gồm 5 câu hỏi, Thời gian làm bài 120 phút, không kể thời gian giao đề) |


Đáp án đề thi thử vào lớp 10 THPT môn Toán




|
TRƯỜNG THPT CHUYÊN NGUYỄN HUỆ |
KỲ THI THỬ VÀO LỚP 10 CHUYÊN THPT LẦN THỨ NHẤT NĂM HỌC 2016 - 2017 Môn thi: TOÁN Thời gian làm bài: 150 phút (dùng cho thí sinh thi vào lớp chuyên Toán và chuyên Tin) |
Bài I (2,0 điểm)
1) Cho các số a, b, c khác 0 thỏa mãn ab + bc + ca = 0. Tìm giá trị biểu thức: ![]()
2) Tìm tất cả các cặp số nguyên dương (x, y) thỏa mãn: x2 + y2(x - y + 1) - (x - 1) = 22
Bài II (3,0 điểm)
1) Giải phương trình ![]()
2) Giải hệ phương trình ![]()
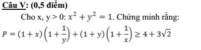
Bài III: (1,0 điểm) Cho a, b, c là các số thực dương. Chứng minh rằng:
![]()
Bài IV (3,0 điểm) Cho đường tròn (O, R), dây BC cố định và
=120o. Điểm A di động trên cung lớn
sao cho ΔABC nhọn. Hai đường cao BM và CN cắt nhau tại H. Gọi D là điểm đối xứng nhau với B qua M và E là điểm đối xứng với C qua N. Đường tròn (O1, R1) ngoại tiếp ΔABD và đường tròn (O2, R2) ngoại tiếp ΔACE cắt nhau tại điểm thứ hai K.
1) Chứng minh rằng tứ giác BHCK nội tiếp.
2) Chứng minh rằng MN // O1O2 và ba điểm E, B, K thẳng hằng
3) Tìm vị trí của điểm A sao cho
nhỏ nhất
Bài V (1,0 điểm) Cho 2 ≤ a1 < a2< a3 <...< a15 ≤ 2016 là 15 số tự nhiên đôi cùng một nguyên tố cùng nhau. Chứng minh rằng trong 15 số tự nhiên đó luôn tồn tại ít nhất một số nguyên tố
Đáp án đề thi thử vào lớp 10 chuyên môn Toán

.............................................
Các bạn tham khảo thêm:
Ngoài Bộ đề thi vào lớp 10 THPT môn Toán. Mời các bạn học sinh còn có thể tham khảo các đề thi học kì 2 lớp 9 các môn Toán 9, Văn 9, Anh 9, Lý, Địa, Sinh mà chúng tôi đã sưu tầm và chọn lọc. Với đề Thi vào lớp 10 này giúp các bạn rèn luyện thêm kỹ năng giải đề và làm bài tốt hơn. Chúc các bạn ôn thi tốt