Đề thi thử vào lớp 10 năm 2014 trường THPT chuyên Sư Phạm, Hà Nội
Nhằm giúp các bạn học sinh lớp 9 chuẩn bị thi vào lớp 10 năm học 2014 - 2015. VnDoc.com xin giới thiệu tới bạn đọc: Đề thi thử vào lớp 10 chuyên Toán năm 2014 - Trường THPT chuyên Sư phạm, Hà Nội do thầy Phạm Minh Phương ra đề.
* Đề thi thử vào lớp 10 THPT môn Toán (Đề 1):
|
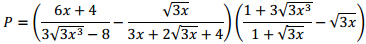
Câu 1 (2 điểm). Cho biểu thức:
a) Rút gọn P. b) Xác định x nguyên sao cho P nguyên. Câu 2 (2 điểm). Giải hệ phương trình sau:
Câu 3 (2điểm). Tìm số tự nhiên n sao cho A = n6 - n4 + 2n3 + 2n2 là một số chính phương. Câu 4 (3 điểm). Cho đường tròn (O) và dây cung BC không là đường kính. Gọi A là điểm chính giữa của cung lớn BC. Các tiếp tuyến tại B, C của (O) cắt nhau tại S. Gọi H là hình chiếu vuông góc của C trên AB và M là trung điểm của CH. Tia AM cắt đường tròn (O) tại điểm thứ hai N. a) Gọi D là giao điểm của SA với BC. Chứng minh tứ giác CMDN nội tiếp. b) Tia SN cắt đường tròn (O) tại điểm thứ hai E. Chứng minh rằng CE song song với SA. c) Chứng minh đường thẳng CN đi qua trung điểm của đoạn thẳng SD. Câu 5 (1 điểm). Xét tập X = {1; 2; 3; … ; 2012}. Tô màu các phần tử của X bởi một trong 5 màu: xanh, đỏ, tím, vàng, nâu. Chứng minh rằng tồn tại ba phần tử phân biệt a, b, c của X cùng màu sao cho: a là bội của b và b là bội của c. |
* Đề thi thử vào lớp 10 THPT môn Toán (Đề 2):
|
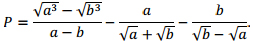
Câu 1 (2 điểm). Cho b > a > 0. Xét biểu thức: a) Rút gọn P. b) Biết (a − 1)(b − 1)+ 2√ab = 1, hãy tính giá trị của biểu thức P. Câu 2 (2 điểm). Cho parabol (P): y = x2 và đường thẳng d: y = (m + 5)x − m với m là tham số. a) Chứng minh rằng d luôn cắt (P) tại hai điểm phân biệt. b) Gọi A(x1; y1), B(x2; y2) là các giao điểm của d và (P). Tìm giá trị nhỏ nhất của biểu thức M = |x1 − x2|. Câu 3 (2 điểm). Một ô tô và một xe máy khởi hành cùng một lúc từ hai tỉnh A, B cách nhau 150km, đi ngược chiều và gặp nhau sau 1,5 giờ. Hỏi sau khi gặp nhau bao lâu thì ô tô đến B và xe máy đến A, biết rằng vận tốc của xe máy bằng hai phần ba vận tốc của ô tô. Câu 4 (3 điểm). Cho tam giác ABC vuông tại A và AB < AC. Gọi H là hình chiếu của A trên BC và M là điểm đối xứng của H qua AB. Tia MC cắt đường tròn ngoại tiếp tam giác ABH tại điểm P (P ≠ M). Tia HP cắt đường tròn ngoại tiếp tam giác APC tại điểm N (N ≠ P). a) Chứng minh rằng HN = MC. b) Gọi E là giao điểm thứ hai của AB với đường tròn ngoại tiếp tam giác APC. Chứng minh rằng EN song song với BC. c) Gọi K là giao điểm thứ hai của BC với đường tròn ngoại tiếp tam giác APC. Chứng minh rằng H là trung điểm của BK. Câu 5 (1 điểm). Cho x, y là các số thực khác 0 và thoả mãn:
Tính giá trị của biểu thức S = x + y. |
