Đề thi tuyển sinh lớp 10 môn Toán trường THPT chuyên Lê Quý Đôn, tỉnh Bình Định năm học 2014 - 2015
Đề chuẩn bị cho kỳ thi vào cấp 3 sắp tới, Vndoc.com xin gửi đến các bạn: Đề thi tuyển sinh lớp 10 môn Toán trường THPT chuyên Lê Quý Đôn, tỉnh Bình Định năm học 2014 - 2015 với mong muốn giúp các bạn chuẩn bị thật tốt kiến thức để làm bài thi vào lớp 10 môn Toán đạt hiệu quả cao.
Đề thi tuyển sinh lớp 10 THPT chuyên Lê Quý Đôn tỉnh Bình Định năm 2012 - 2013 môn Toán
Đề thi tuyển sinh lớp 10 môn Toán
Đề thi vào lớp 10 tỉnh Bình Định
ĐỀ THI TUYỂN SINH LỚP 10 CHUYÊN LÊ QUÝ ĐÔN (BÌNH ĐỊNH) 2014 – 2015
VÒNG 1
Bài 1. Cho biểu thức:

a) Rút gọn biểu thức P.
b) Tìm các giá trị của a để P = 2.
c) Tìm GTLN của P.
Bài 2. Gọi đồ thị hàm số y = x² là parabol (P), đồ thị hàm số y = (m + 4)x - 2m - 5 là đường thẳng (d).
a) Tìm giá trị của m để (d) cắt (P) tại hai điểm phân biệt.
b) Khi (d) cắt (P) tại hai điểm phân biệt có hoành độ lần lượt là x1, x2. Tìm các giá trị của m sao cho x³1 + x³2 = 0.
Bài 3. Tìm x, y nguyên sao cho √x + √y = 18
Bài 4. Cho đường tròn (O) và một điểm P ở ngoài đường tròn. Kẻ hai tiếp tuyến PA, PB với đường tròn (O) (A, B là hai tiếp điểm). PO cắt đường tròn tại hai điểm K và I (K nằm giữa P và O) và cắt (AB) tại H. Gọi D là điểm đối xứng của B qua O. C là giao điểm của PD và đường tròn (O).
a) Chứng minh tứ giác BHCP nội tiếp.
b) Chứng minh AC vuông góc với CH.
c) Đường tròn ngoại tiếp DACH cắt IC tại M. Tia AM cắt IB tại Q. Chứng minh MA =MQ.
Bài 5. Tìm GTNN của hàm số:

ĐỀ THI VÒNG 2 - CHUYÊN TOÁN
Bài 1: Cho biểu thức:

a) Rút gọn A.
b) Chứng minh rằng A > √ A
Bài 2.
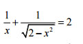
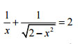
a) Giải phương trình:

b) Tìm cặp số nguyên (x,y) thỏa: 6x² + 5y² = 74
Bài 3. Cho tam giác ABC có ba góc đều nhọn. Các đường cao AA1, BB1, CC1 của tam giác đồng quy tại H. Chứng minh rằng:
