Đề thi - Đáp án thi tuyển sinh lớp 10 THPT TP Hồ Chí Minh năm 2014 - 2015
Đề thi vào lớp 10 THPT môn Toán
Đề thi - Đáp án kỳ thi thi tuyển sinh lớp 10 THPT Thành phố Hồ Chí Minh năm học 2014 - 2015 dưới đây gồm các môn: Toán, Tiếng Anh. Đề thi vào lớp 10 này sẽ giúp các bạn ôn thi vào lớp 10 môn Toán, tiếng Anh hiệu quả, là tài liệu tham khảo hay dành cho các bạn học sinh và thầy cô giáo trong giai đoạn luyện thi vào lớp 10 môn Toán và tiếng Anh.
Đề thi tuyển sinh vào lớp 10 môn Toán (Chung) năm học 2015-2016 trường THPT Chuyên Sư Phạm, Hà Nội
Đề thi và đáp án tuyển sinh vào lớp 10 môn Ngữ Văn năm học 2015-2016 Sở GD-ĐT Hà Nội
Đề thi tuyển sinh lớp 10 môn Toán (chung) năm 2015 - 2016 trường THPT Chuyên Khoa học Tự nhiên
|
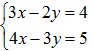
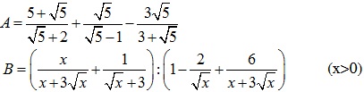
Bài 1: (2 điểm) Giải các phương trình và hệ phương trình sau: a) x2 - 7x + 12 = 0 b) x2 - (√2 + 1)x + √2 = 0 c) x4 - 9x2 + 20 = 0 d) Bài 2: (1,5 điểm) a) Vẽ đồ thị (P) của hàm số y = x2 và đường thẳng (D): y = 2x + 3 trên cùng một hệ trục toạ độ. b) Tìm toạ độ các giao điểm của (P) và (D) ở câu trên bằng phép tính. Bài 3: (1,5 điểm) Thu gọn các biểu thức sau:
Bài 4: (1,5 điểm) Cho phương trình x2 - mx - 1 = 0 (1) (x là ẩn số) a) Chứng minh phương trình (1) luôn có 2 nghiệm trái dấu b) Gọi x1, x2 là các nghiệm của phương trình (1): Tính giá trị của biểu thức: Bài 5: (3,5 điểm) Cho tam giác ABC có ba góc nhọn, nội tiếp đường tròn tâm O (AB < AC). Các đường cao AD và CF của tam giác ABC cắt nhau tại H. a. Chứng minh tứ giác BFHD nội tiếp. Suy ra góc AHC = 180o - ABC. b. Gọi M là điểm bất kì trên cung nhỏ BC của đường tròn (O) (M khác B và C) và N là điểm đối xứng của M qua AC. Chứng minh tứ giác AHCN nội tiếp. c. Gọi I là giao điểm của AM và HC; J là giao điểm của AC và HN. Chứng minh góc AJI = ANC. d. Chứng minh rằng: OA vuông góc với IJ. |
Tổng hợp đề thi vào lớp 10 môn Tiếng Anh các tỉnh
Đề thi tuyển sinh vào lớp 10 môn tiếng Anh năm học 2015-2016 Sở GD-ĐT TP. Hồ Chí Minh
Đề thi thử vào lớp 10 môn Tiếng Anh không chuyên trường THPT Hà Nội - Amsterdam năm 2015
Đề thi tuyển sinh vào lớp 10 môn Tiếng Anh
KÌ THI TUYỂN SINH LỚP 10 TRUNG HỌC PHỔ THÔNG
Khoá ngày 21 tháng 06 năm 2014 tại TP.HCM
Môn thi : ANH VĂN Thời gian: 60 phút (không tính thời gian giao đề)
I. Choose the word/ phrase (A, B, C or D) that best fits the space in each sentence. (2.5 pts)
1.- “Do you like watching the news. Thang?” – “___________. It’s very informative.”
A. Yes, I do B. Not really C. No, I don’t D. Quite the opposite
2. Plastic bags seem good for carrying things. _________, people carelessly throw them away after use.
A. Because B. However C. Although D. Therefore
3. An anthem is a song which is sung _______ special occasions.
A. of B. at C. on D. in
4. It was the world’s ________ volcanic eruption in more than 50 years.
A. large B. larger C. the largest D. largest
5. The 2014 UN Day of Vesak attracted thousands of Buddhists from nearly 100 countries ________ the world.
A. on B. at C. around D. above
6. In the afternoon, when Tam _______ his homework, he helps Mr.Brown on the farm.
A. takes B. completes C. does D. makes.
7. Mr.Bao said , “I am so ________ of having been a Dien Bien Phu soldier.”
A. interested B. excited C. proud D. keen
8. They _________ go fishing offshore if they had a bigger boat.
A. can B. may C. could D. will
9. “To the ____________ me to love this country.”
A. person teaches B. man that teach C. one who teaches D. who teaching
10. – “_______” - “But Grandma, the forecast says it’ll be sunny.”
A. Remember the new words by heart B. Let’s eat out
C. Let me go shopping D. Don’t forget to bring along a raincoat
Answers:
1. A 2. C 3. C 4. D 5. C
6.B 7. C 8. C 9. C 10.D
II. Choose the underlined word or phrase (A, B, C or D) that needs correcting. (0,5 pt)
11. Plastic is make from natural gases and petroleum – a thick oil that people remove from the earth.
A B C D
12.The festival was an opportunity to tighten solidarity and friendly to make a better society.
A B C D
Answers: 11. A 12. C


