Đề thi giữa học kì 2 môn Toán lớp 4 trường Tiểu học Trần Quang Khải năm học 2017 - 2018
Đề thi giữa học kì 2 môn Toán lớp 4
Đề thi giữa học kì 2 môn Toán lớp 4 trường tiểu học Trần Quang Khải năm học 2017 - 2018 được VnDoc sưu tầm, tổng hợp kèm theo đáp án và bảng ma trận đề thi giúp các em ôn tập, hệ thống, củng cố kiến thức chuẩn bị tốt cho các bài thi giữa học kì 2. Sau đây mời thầy cô cùng các bạn học sinh tham khảo và tải về trọn bộ đề thi, đáp án.
Bộ đề thi giữa học kì 2 lớp 4 năm 2017 - 2018 theo Thông tư 22
Đề thi giữa học kì 2 môn Toán lớp 4 năm học 2017 - 2018 theo Thông tư 22
|
TRƯỜNG TH TRẦN QUANG KHẢI Họ tên: Lớp:
|
KTĐK – GIỮA KÌ II – 2017 - 2018 Môn: Toán - Lớp 4 Ngày: ……/3/2018 (Thời gian: 40 phút) |
|
Bài 1. (0.5 điểm) Đổi 5m2 15 cm2 = ........... cm2
A. 515
B. 50015
C. 50015
D. 515
Bài 2: (0.5 điểm) Nối từ trên xuống cho hai phân số bằng nhau:

Bài 3. (0.5 điểm) Diện tích hình bình hành có chiều cao 23cm, độ dài đáy 3dm là:
A. 690cm
B. 690cm2
C. 69dm2
D. 69cm2
Bài 4. (0.5 điểm) Chu vi hình vuông có cạnh là: 1/2 m là:
A. 2m
B. 1/2m
C. 4m
D. 1m
Bài 5. (1 điểm) Đúng ghi Đ, sai ghi S vào ô trống
a) 2 phút 35 giây = 165 giây
b)
\(\frac{1}{20}\) thế kỷ và 3 năm = 8 năm
Bài 6. Tính: (2 điểm)
![]()
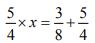
Bài 7. Tìm (1 điểm)
![]()
Bài 8. Tính bằng cách thuận tiện nhất (1 điểm)
![]()
Bài 9. (2 điểm) Một cửa hàng có 250kg gạo. Buổi sáng đã bán 25kg gạo, buổi chiều bán 3/5 số gạo còn lại. Hỏi cả hai buổi cửa hàng đã bán được bao nhiêu ki-lô-gam gạo?
Bài 10. Một vườn rau hình chữ nhật có diện tích là 98 m2. Biết chiều dài gấp đôi chiều rộng. Tính chu vi vườn rau hình chữ nhật đó.
Đáp án và hướng dẫn giải môn Toán lớp 4 giữa học kì 2
Bài 1: C (0.5 điểm)
Bài 2: (0.5 điểm)

Bài 3: B (0.5 điểm)
Bài 4: A (0.5 điểm)
Bài 5: Thứ tự điền là: S – Đ (0.5 điểm)
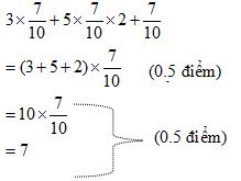
Bài 6.

Bài 7. Tìm (1 điểm)

Bài 8. Tính bằng cách thuận tiện nhất (1 điểm)

Bài 9: (2 điểm) Giải
Số gạo còn lại là: 250 - 25 = 225 (kg) (0,5 điểm)
Số gạo bán buổi chiều là:
\(225\times\frac{3}{5}=135\)(kg) (0,5 điểm)
Số gạo bán cả hai buổi sáng chiều là: 25 + 135 = 160 (kg) (0,5 điểm)
Đáp số: 160kg (0,5 điểm)
Học sinh ghi sai hoặc thiếu đáp số trừ 0.5 điểm toàn bài.
Bài 10.

Phân nửa diện tích vườn rau hình chữ nhật là:
98 : 2 = 49 (m2)
Cạnh phần đất hình vuông là 7m vì 7 x 7= 49 (m2)
Chiều dài vườn rau hình chữ nhật là:
7 x 2= 14 (m)
Chu vi vườn rau hình chữ nhật là:
(14 + 7) x 2 = 42 (m)
Đáp số: 42 m
Ngoài ra các em học sinh hoặc quý phụ huynh còn có thể tham khảo thêm đề thi giữa học kì 2 lớp 4 các môn Toán, Tiếng Việt, Tiếng Anh theo chuẩn thông tư 22 của bộ Giáo Dục và các dạng bài ôn tập môn Tiếng Việt 4, và môn Toán 4. Những đề thi này được VnDoc.com sưu tầm và chọn lọc từ các trường tiểu học trên cả nước nhằm mang lại cho học sinh lớp 4 những đề ôn thi học kì 1 chất lượng nhất. Mời các em cùng quý phụ huynh tải miễn phí đề thi về và ôn luyện.