Giao diện mới của VnDoc Pro: Dễ sử dụng hơn - chỉ tập trung vào lớp bạn quan tâm. Vui lòng chọn lớp mà bạn quan tâm: Lưu và trải nghiệm
Đóng
Điểm danh hàng ngày
  • Hôm nay +3
  • Ngày 2 +3
  • Ngày 3 +3
  • Ngày 4 +3
  • Ngày 5 +3
  • Ngày 6 +3
  • Ngày 7 +5
Bạn đã điểm danh Hôm nay và nhận 3 điểm!
Nhắn tin Zalo VNDOC để nhận tư vấn mua gói Thành viên hoặc tải tài liệu Hotline hỗ trợ: 0936 120 169

Đề thi giữa học kì 1 môn Toán lớp 12 trường THPT Thuận Thành số 3, Bắc Ninh năm học 2015 - 2016

Lớp: Lớp 12
Môn: Toán
Dạng tài liệu: Đề thi
Loại File: PDF + Word
Phân loại: Tài liệu Tính phí

Đề thi giữa học kì 1 môn Toán lớp 12

Đề thi giữa học kì 1 môn Toán lớp 12 trường THPT Thuận Thành số 3, Bắc Ninh năm học 2015 - 2016. Đây là tài liệu tham khảo hay được Vndoc.com sưu tầm, nhằm giúp các bạn học sinh lớp 12 ôn tập và củng cố kiến thức để chuẩn bị cho bài kiểm tra giữa học kì 1 sắp tới. Mời các bạn tham khảo.

Trắc nghiệm môn Toán: Tiệm cận hàm số - Tiếp tuyến của đồ thị hàm số

Trắc nghiệm môn Toán lớp 12: Lũy thừa - Hàm số lũy thừa

SỞ GD & ĐT BẮC NINH
TRƯỜNG THPT THUẬN THÀNH SỐ 3
ĐỀ CHÍNH THỨC
ĐỀ THI GIỮA HỌC KÌ I
NĂM HỌC 2015 - 2016
MÔN: TOÁN - LỚP 12
Thời gian làm bài: 90 phút

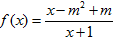
Câu 1 (3,0 điểm). Cho hàm số Đề thi giữa học kỳ 1 môn Toán lớp 12có đồ thị là (C).

1. Khảo sát sự biến thiên và vẽ đồ thị hàm số (C).
2. Tìm tọa độ giao điểm của đồ thị hàm số (C) với đường thẳng d: y = x + 9

Câu 2 (3,0 điểm)

1. Lập phương trình tiếp tuyến của đồ thị hàm số y = 2x3 - 6x2 + 3 tại điểm có hoành độ là 1.
2. Tìm giá trị của tham số m để giá trị nhỏ nhất của hàm số Đề thi giữa học kỳ 1 môn Toán lớp 12trên Đề thi giữa học kỳ 1 môn Toán lớp 12bằng - 2

Câu 3 (1,0 điểm). Tìm m để phương trình có 2 nghiệm phân biệt: x + 3 = mĐề thi giữa hoc kỳ 1 môn Toán lớp 12

Câu 4 (3,0 điểm). Cho hình chóp S.ABC có đáy ABC là tam giác vuông tại A. Có SA=AB=Đề thi giữa học kỳ 1 môn Toán lớp 12 , AC= a và SA vuông góc với mặt phẳng đáy.

a. Tính thể tích khối chóp S.ABC theo a.
b. Trong tam giác SAC vẽ phân giác góc A cắt SC tại E. Hạ EM vuông góc với SA tại M, chứng minh: EM vuông góc với mặt phẳng (SAB).
c. Tính khoảng cách giữa AC và BE.

---------Hết---------
Thí sinh không được sử dụng tài liệu, cán bộ coi thi không giải thích gì thêm

Chọn file muốn tải về:
Đóng Chỉ thành viên VnDoc PRO/PROPLUS tải được nội dung này!
Đóng
79.000 / tháng
Đặc quyền các gói Thành viên
PRO
Phổ biến nhất
PRO+
Tải tài liệu Cao cấp 1 Lớp
30 lượt tải tài liệu
Xem nội dung bài viết
Trải nghiệm Không quảng cáo
Làm bài trắc nghiệm không giới hạn
Mua cả năm Tiết kiệm tới 48%

Có thể bạn quan tâm

Xác thực tài khoản!

Theo Nghị định 147/2024/ND-CP, bạn cần xác thực tài khoản trước khi sử dụng tính năng này. Chúng tôi sẽ gửi mã xác thực qua SMS hoặc Zalo tới số điện thoại mà bạn nhập dưới đây:

Số điện thoại chưa đúng định dạng!
Số điện thoại này đã được xác thực!
Bạn có thể dùng Sđt này đăng nhập tại đây!
Lỗi gửi SMS, liên hệ Admin
Sắp xếp theo
🖼️

Toán 12

Xem thêm
🖼️

Gợi ý cho bạn

Xem thêm