Đề thi giữa kì 1 lớp 11 môn Vật lý năm học 2015 - 2016
Đề thi giữa kì 1 môn Vật lý lớp 11 năm học 2015 - 2016
Đề kiểm tra giữa học kì 1 môn Vật lý lớp 11 năm học 2015 - 2016 có đáp án đi kèm giúp các bạn học sinh có thêm đề luyện tập nhằm củng cố và nâng cao kiến thức đã học, ôn thi học kì I lớp 11 môn Vật lý hiệu quả. Mời các bạn tham khảo.
Đề kiểm tra giữa học kì 1 môn Ngữ văn lớp 11 năm học 2015 - 2016 trường THPT Thống Nhất A, Đồng Nai
Đề kiểm tra giữa học kì 1 môn Sinh học lớp 11 năm học 2015 - 2016 trường THPT Thống Nhất A, Đồng Nai
ĐỀ THI GIỮA HỌC KỲ I NĂM HỌC 2015 – 2016
MÔN: VẬT LÍ 11
(Thời gian: 45 phút)
Bài 1 (5 điếm):
Một điện tích điểm q1 = -6,4. 10-10 (C) đặt ở A trong chân không:
a. Vẽ vectơ cường độ điện trường do q1 gây ra tại điểm M cách A 8 (cm) và tính cường độ điện trường đó.
b. Đặt thêm một điện tích điểm q2 = 3,6.10-10 (C) tại B cách A 10 (cm) và cách M 6(cm). Tim cường độ điện trường tổng hợp tại M.
Bài 2 (2 điểm):
Hai điện tích điểm đặt trong không khí cách nhau một đoạn 1m, đẩy nhau một lực F=1,8 N. Điện tích tổng cộng cúa hai vật là 3. 10-5C. Tìm điện tích của mỗi vật.
Bài 3 (3 điểm):
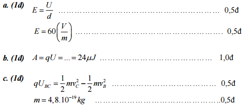
Giữa hai điểm B và C cách nhau một đoạn 0,2 m có một điện trường đều với đường sức hướng từ B → C. Hiệu điện thế Ubc = 12V. Tìm:
a. Cường độ điện trường giữa B và C.
b. Công của lực điện dịch chuyển điện tích điểm q = 2.10-6C đi từ B → C.
c. Khối lượng của điện tích điểm q = 2.10-6C. Biết nó dịch chuyển không vận tốc đầu từ B đến C dưới tác dụng cúa điện trường và tại C điện tích điểm đạt tốc độ: 1.107 m/s.
Đáp án đề thi giữa học kì I môn Vật Lý lớp 11
Bài 1 (5 điểm):

Bài 2 (2 điểm):

Bài 3 (3 điểm):
