Đề thi học kì 1 môn Toán lớp 10 trường THPT Cầm Bá Thước, Thanh Hóa năm học 2015 - 2016
Đề thi học kì 1 môn Toán lớp 10
Nhăm giúp các bạn ôn tập và củng cố kiến thức để chuẩn bị sẵn sàng cho bài kiểm tra học kì 1, VnDoc.com xin giới thiệu Đề thi học kì 1 môn Toán lớp 10 trường THPT Cầm Bá Thước, Thanh Hóa năm học 2015 - 2016. Đề thi môn Toán có đáp án đi kèm sẽ giúp các bạn chủ động và linh hoạt hơn khi luyện đề. Chúc các bạn học tốt.
Đề thi học kì 1 môn Toán lớp 10 trường THPT Trần Phú, Đồng Nai năm học 2015 - 2016
|
Trường THPT Cầm Bá Thước Tổ: TOÁN |
ĐỀ THI TIỆN ÍCH HỌC KÌ I Môn: Toán – Lớp 10 Thời gian: 90 phút |
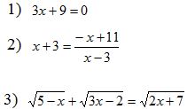
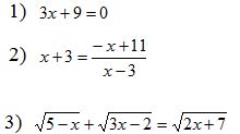
Câu 1 (3 điểm): Giải các phương trình sau:

Câu 2 (2 điểm):
- Xác định b, c của parabol (P): y = x2 + ax + b, biết (P) đi qua 2 điểm A(3;1) và B(2;-5).
- Tìm tập xác định của hàm số

Câu 3 (3 điểm): Trong hệ tọa độ Oxy cho 3 điểm A(6;-4) ,B(-2;2),C(3;0)
- Tìm tọa độ các vecto
. - Tìm tọa độ trung điểm I của AB, tọa độ trọng tâm G của tam giác ABC.
- Tìm tọa độ điểm P và Q sao cho ABPQ là hình vuông.
Câu 4 (1 điểm): Giải phương trình sau: ![]()
Câu 5 (1 điểm): Cho 3 số dương x, y, z thỏa mãn x + y + z = 2. Tìm giá trị lớn nhất của biểu thức:
![]()
Đáp án đề thi học kì 1 môn Toán lớp 10

