Đề thi học kì 1 môn Toán lớp 10 trường THPT Đa Phúc, Hà Nội năm học 2016 - 2017
Đề thi học kì 1 môn Toán lớp 10
Đề thi học kì 1 môn Toán lớp 10 trường THPT Đa Phúc, Hà Nội năm học 2016 - 2017 là đề kiểm tra cuối kì I nhằm kiểm tra kiến thức của học sinh với thời gian làm bài là 45 phút. Phần đáp án đã được VnDoc.com cập nhật đầy đủ. Mời các bạn tham khảo.
Đề cương ôn tập học kì 1 môn Toán lớp 10 trường THPT Đa Phúc, Hà Nội năm học 2016 - 2017
Đề thi học kì 1 môn Toán lớp 10 trường THPT Tiến Thịnh, Hà Nội năm học 2016 - 2017
|
TRƯỜNG THPT ĐA PHÚC |
ĐỀ KIỂM TRA LỚP 10 |
|
Năm học 2016 - 2017 |
Môn: Toán |
|
--------š&›--------- |
(Thời gian: 45 phút) |
Bài 1: (4,0 điểm). Cho hàm số: y = -x2 + 2x + 3 có đồ thị (P).
a) Lập bảng biến thiên và vẽ đồ thị (P) của hàm số.
b) Tìm tọa độ giao điểm của (P) và đường thẳng d có phương trình: y = x + 1. Vẽ đường thẳng d trên cùng hệ trục với (P).
c) Dựa vào đồ thị vừa vẽ, tìm m để phương trình sau có 4 nghiệm phân biệt: -x4 + 2x2 + 3 = m.
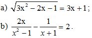
Bài 2: (3,5 điểm). Giải các phương trình sau:

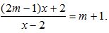
Bài 3: (1,5 điểm). Tìm m để phương trình sau có 1 nghiệm: ![]()
Bài 4: (1,0 điểm). Giải phương trình: ![]()
Đáp án đề thi học kì 1 môn Toán lớp 10


