Đề cương ôn tập học kì 1 môn Toán lớp 10 trường THPT Đa Phúc, Hà Nội năm học 2016 - 2017
Nội dung ôn tập học kì 1 môn Toán lớp 10
Đề cương ôn tập học kì 1 môn Toán lớp 10 trường THPT Đa Phúc, Hà Nội năm học 2016 - 2017 là tài liệu tham khảo hay quý thầy cô giáo sẽ có thêm tài liệu để dạy học, các em học sinh có thể ôn tập hoặc mở rộng kiến thức của mình. Hi vọng đề cương môn Toán sẽ giúp các em học sinh nắm được các kiến thức cần thiết trong chương trình học ở trường phổ thông.
Đề cương ôn tập học kì 1 môn Ngữ văn lớp 10
Đề cương ôn tập học kì 1 môn Sinh học lớp 10
Đề cương ôn tập học kì 1 môn Địa lý lớp 10
10 bộ đề thi học kì 1 môn Toán lớp 10
Đề thi giữa học kì 1 môn Toán lớp 10 trường THPT Giao Thủy C, Nam Định năm học 2016 - 2017
Đề thi giữa học kì 1 môn Toán lớp 10 trường THPT Thuận Thành 3, Bắc Ninh năm học 2016 - 2017
|
TRƯỜNG THPT ĐA PHÚC NĂM HỌC 2016 - 2017 |
ĐỀ CƯƠNG ÔN TẬP HỌC KÌ I KHỐI 10MÔN: TOÁN |
PHẦN I: MỆNH ĐỀ - TẬP HỢP
Bài 1:
a) Viết các tập hợp sau theo cách liệt kê các phần tử của tập hợp
{x ∈ R \ (x2 – x – 12)(x + 3) = 0}
b) Cho A = [-3; 1], B = [-5; 5], C = [-5; +∞). Cho biết tập hợp nào là tập con của tập khác trong các tập hợp trên và xác định A∩B, B∪C, B\A, B\C, C\B.
c) Cho A = {a, b, c}; B = {a, b, c, d, e}. Tìm tập hợp X thỏa mãn: A ⊂ X ⊂ B.
Bài 2: Cho A = {x ∈ R\ - 6 ≤ x ≤ 10 }, B = {x ∈ R \ 7 ≤ x < 12 }, C = {x ∈ R \ 2x + 4 > 0}, D = {x ∈ R \ 3x + 1 ≤ 0}.
a) Dùng các kí hiệu đoạn, khoảng, nửa khoảng…để viết lại các tập hợp trên.
b) Biểu diễn A, B, C, D trên trục số.
c) Xác định A∩B, B∪A, A∩D, D\B, C\A.
PHẦN II: HÀM SỐ
Bài 1: Tìm tập xác định của các hàm số sau:

Bài 2: Chứng minh rằng
a) Hàm số y = - 2x2 + 3x + 1 nghịch biến trên (3/4; +∞)
b) Hàm số
nghịch biến trên (-∞; 1/2)
c) Hàm số y = x3 – 3x2 + 1 đồng biến trên (2; +∞)
Bài 3: Xét tính chẵn, lẻ của các hàm số sau:
a) y = 2x4 – 3x2 + 1 b) y = 5x3 – 4x
c) y = |4x – 1| + |4x + 1| ![]()
Bài 4: Lập bảng biến thiên và vẽ đồ thị của các hàm số sau:
a) y = 3x + 1
c) y = x2 + 5x – 2 d) y = - 2x2 – 4x + 6
Tìm tọa độ giao điểm của đồ thị các hàm số a) và b); a) và c) và vẽ chúng trên cùng một hệ trục tọa độ.
Bài 5:
a) Vẽ parabol y = 2x2 – 3x + 1
b) Từ đồ thị chỉ ra x để y > 0, y < 0; y ≥ 1.
c) Từ đồ thị tìm giá trị nhỏ nhất của hàm số.
Bài 6: Tìm a, b biết đồ thị hàm số y = ax + b
a) Đi qua A(-4; 1) và B(5; 2)
b) Đi qua M(-1; 1) và song song với đường thẳng d có phương trình y = 3x + 2013.
Bài 7: Xác định hàm số bậc hai y = 2x2 + bx + c biết rằng
a) Đồ thị hàm số đi qua A(2; 1) và cắt trục Ox tại điểm có hoành độ x = -3
b) Đồ thị có đỉnh I(-3; 4).
c) Đồ thị hàm số có trục đối xứng là đường thẳng x = -2 và cắt trục tung tại điểm có tung độ bằng 6
d) Hàm số đạt giá trị nhỏ nhất tại x = 2 và đi qua N(1; -2)
Bài 8: Lập bảng biến thiên và vẽ đồ thị của các hàm số sau:
a) y = x2 – 4|x| + 3 b) y = |x2 – 4x + 3| c) y = x|x – 4| + 3.
Bài 9: Cho hàm số y = x2 – 3x + 1 có đồ thị (P) và đường thẳng dm có phương trình y = x + m.
a) Tìm m để dm cắt (P) tại hai điểm phân biệt.
b) Tìm m để dm cắt (P) tại hai điểm phân biệt nằm về bên phải của trục Oy.
c) Tìm m để dm cắt (P) tại hai điểm phân biệt có hoành độ x1, x2 thỏa mãn: x12 + x22 = 10.
PHẦN III: PHƯƠNG TRÌNH VÀ HỆ PHƯƠNG TRÌNH
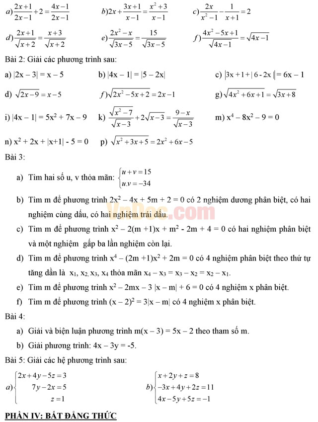
Bài 1: Giải các phương trình sau:


