Đề thi học kì 1 môn Toán lớp 10 trường THPT Tháp Chàm, Ninh Thuận năm học 2015 - 2016
Đề thi học kì 1 môn Toán lớp 10
Đề thi học kì 1 môn Toán lớp 10 trường THPT Tháp Chàm, Ninh Thuận năm học 2015 - 2016. Đề gồm 5 câu hỏi tự luận với thời gian làm bài là 90 phút. Nội dung đề thi bám sát kiến thức SGK lớp 10 môn Toán học kì 1. Mời các bạn tham khảo.
10 bộ đề thi học kì 1 môn Toán lớp 10
Đề thi học kì 1 môn Toán lớp 10 trường THPT Vinh Xuân, Thừa Thiên Huế năm học 2015 - 2016
| SỞ GD&ĐT NINH THUẬN TRƯỜNG THPT THÁP CHÀM |
ĐỀ THI HỌC KÌ I NĂM HỌC 2015 - 2016 MÔN: TOÁN - LỚP 10 Thời gian làm bài: 90 phút |
Câu 1: (1,0 điểm) Tìm tập xác định của các hàm số: ![]()
Câu 2: (3,0 điểm) Cho hàm số y = 2x2 – 4x + 1 (P)
a) Xét sự biến thiên và vẽ đồ thị (P) của hàm số trên.
b) Tìm tham số a để đường thẳng (d): y = 2x + a cắt đồ thị (P) tại hai điểm phân biệt.
Câu 3: (2,5 điểm)
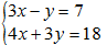
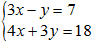
a) Giải hệ phương trình: ![]()
b) Giải phương trình:![]()
Câu 4: (1,0 điểm) Cho tam giác ABC. Gọi M là điểm trung điểm BC và N là trung điểm AM.
Chứng minh: ![]()
Câu 5: (2,5 điểm) Trên hệ trục toạ độ Oxy, cho hai điểm A(-1; 2), B(3; 4).
a) Tìm toạ độ vectơ
và toạ độ trung điểm I của đoạn AB.
b) Tìm toạ độ điểm C nằm trên trục tung sao cho A, B, C thẳng hàng.
Đáp án đề thi học kì 1 môn Toán lớp 10


