Đề thi học kì 1 môn Toán lớp 10 trường THPT Lê Hồng Phong, Đăk Lăk năm học 2015 - 2016
Đề thi học kì 1 môn Toán lớp 10
Đề thi học kì 1 môn Toán lớp 10 trường THPT Lê Hồng Phong, Đăk Lăk năm học 2015 - 2016. Đề thi bám sát kiến thức SGK Toán lớp 10 học kì 1. Với đề thi này các bạn học sinh lớp 10 sẽ được nâng cao kỹ năng giải đề thi. Mời các bạn tham khảo.
Đề thi học kì 1 môn Toán lớp 10 trường THPT Tháp Chàm, Ninh Thuận năm học 2015 - 2016
Đề thi học kì 1 môn Toán lớp 10 trường THPT Vinh Xuân, Thừa Thiên Huế năm học 2015 - 2016
| SỞ GD&ĐT ĐĂK LĂK TRƯỜNG THPT LÊ HỒNG PHONG |
ĐỀ THI HỌC KÌ 1 NĂM HỌC 2015 - 2016 MÔN: TOÁN - LỚP 10 Thời gian làm bài: 90 phút |
Câu 1. (2,0 điểm)
a/ Tìm tập xác định của hàm số: ![]()
b/ Cho hàm số y = x2 - 2x - 3 có đồ thị là parabol (P). Tìm tọa độ của đỉnh và các giao điểm với trục tung, trục hoành của (P).
Câu 2. (3,0 điểm). Giải các phương trình sau:
a/
b/ x - 3 = 2/x c/ ![]()
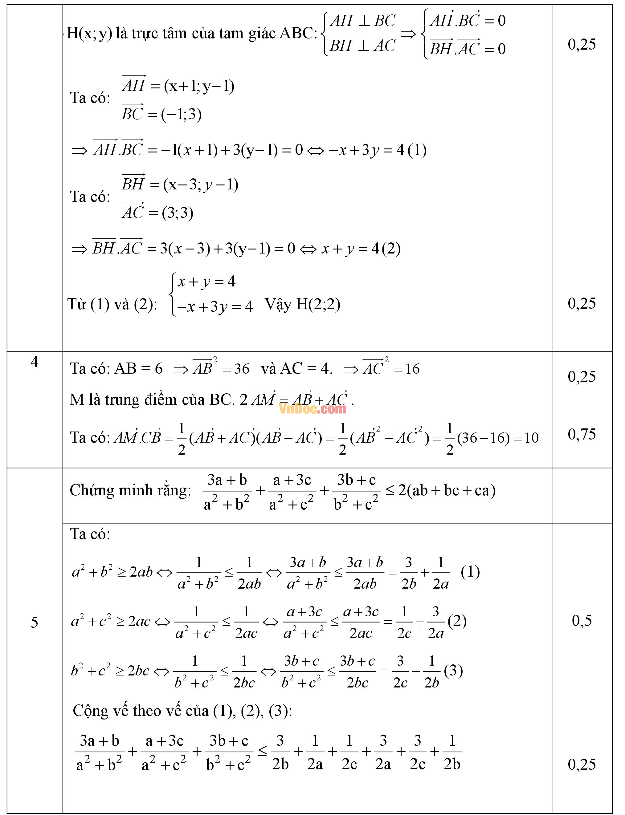
Câu 3. (3,0 điểm). Trong mặt phẳng toạ độ Oxy cho tam giác ABC với A(-1; 1); B(3; 1); C(2; 4)
a/ Tính chu vi của tam giác ABC và tính góc giữa hai vectơ ![]()
b/ Tìm tọa độ trọng tâm G và trực tâm H của tam giác ABC.
Câu 4. (1,0 điểm). Cho tam giác ABC có AB = 6 và AC = 4. Gọi M là trung điểm của BC. Tính tích vô hướng
.
Câu 5. (1,0 điểm). Cho a, b, c là 3 số dương sao cho abc = 1.
Chứng minh rằng: ![]()
Đáp án đề thi học kì 1 môn Toán lớp 10



