Đề thi học kì 1 môn Toán lớp 10 trường THPT Lê Thanh Hiền, Tiền Giang năm học 2016 - 2017
Đề thi học kì 1 môn Toán lớp 10
Đề thi học kì 1 môn Toán lớp 10 trường THPT Lê Thanh Hiền, Tiền Giang năm học 2016 - 2017 là đề kiểm tra học kì I lớp 10 môn Toán có đáp án dành cho các bạn tham khảo, làm thử đề thi học kì, luyện tư duy và cách trình bày, hệ thống chương trình Toán lớp 10 chắc chắn, để chuẩn bị cho chương trình Toán lớp 10 học kì 2. Mời các bạn tham khảo.
Bộ đề thi học kì 1 môn Toán lớp 10 năm học 2016 - 2017
Đề thi học kì 1 môn Toán lớp 10 trường THCS&THPT Võ Thị Sáu, Phú Yên năm học 2016 - 2017
|
SỞ GD & ĐT TIỀN GIANG TRƯỜNG THPT LÊ THANH HIỀN ĐỀ CHÍNH THỨC (Đề có 01 trang)
|
ĐỀ KIỂM TRA HỌC KÌ I NĂM HỌC: 2016 – 2017 MÔN: TOÁN K10 THPT Thời gian: 120 phút Ngày kiểm tra: 22/12/2016 |
Câu 1: (1.5 điểm)
- Lập mệnh đề phủ định của mệnh đề sau:

- Cho hai tập hợp: K = {x ∈ R: x ≤ -3} và L = [-7; 9). Tìm K ∩ L.
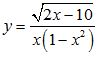
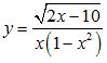
- Tìm tập xác định của hàm số sau:

Câu 2: (2.5 điểm)
- Tìm Parabol (P): y = ax2 + bx + c, biết (P) đi qua A(0; 2), B(-1; 8) và trục đối xứng x = 1.
- Cho hàm số y = 2x2 - 4x + 2 có đồ thị là (P)
a/ Lập bảng biến thiên và vẽ đồ thị (P) của hàm số trên.
b/ Tìm m để đường thẳng d: y = m + 5 tiếp xúc (P) tại một điểm duy nhất.
Câu 3: (3.0 điểm)
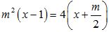
- Giải và biện luận phương trình:

- Giải phương trình sau: |2x2 - 5x + 7| = 2x - 7
- Tìm m để phương trình: x2 + 2(m + 2)x + m2 + 2 = 0 có hai nghiệm phân biệt x1, x2 thỏa mãn x12 + x22 - x1x2 = 46.
Câu 4: (3.0 điểm)
- Cho tam giác ABC, gọi M, N, P lần lượt là trung điểm của các cạnh BC, AB, AC. Chứng minh rằng:
. - Trên hệ trục tọa độ Oxy, cho tam giác ABC có A(2; -1), B(5; -5) và C(-2; -4). Tìm tọa độ điểm D sao cho A là trọng tâm của tam giác BCD.
- Trong hệ trục tọa độ Oxy, cho tam giác ABC có A(-2; 3), B(4; 2) và C(1; -1). Tìm toạ độ chân đường cao H hạ từ A của tam giác ABC.
Đáp án đề thi học kì 1 môn Toán lớp 10



