Đề thi học kì 1 môn Toán lớp 11 trường THPT Nguyễn Du, TP Hồ Chí Minh năm học 2016 - 2017
Đề thi học kì 1 môn Toán lớp 11
Đề thi học kì 1 môn Toán lớp 11 trường THPT Nguyễn Du, TP Hồ Chí Minh năm học 2016 - 2017 là đề kiểm tra học kì I lớp 11 môn Toán dành cho các bạn tham khảo, ôn tập chuẩn bị cho bài thi cuối kì I môn Toán lớp 11 được chắc chắn nhất. Đề thi có đáp án đi kèm giúp các bạn tự luyện tập hiệu quả. Mời các bạn tham khảo.
Đề thi học kì 1 môn Địa lý lớp 11 trường THPT Nguyễn Du, TP Hồ Chí Minh năm học 2016 - 2017
Đề thi học kì 1 môn Sinh học lớp 11 trường THPT Nguyễn Du, TP Hồ Chí Minh năm học 2016 - 2017
| SỞ GIÁO DỤC & ĐÀO TẠO TP.HCM TRƯỜNG THPT NGUYỄN DU ĐỀ 1 |
ĐỀ THI HỌC KỲ I LỚP 11 Môn: Toán Thời gian làm bài: 90 phút |
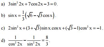
Bài 1: (4.0 điểm) Giải các phương trình lượng giác sau:

Bài 2: (2.0 điểm)
a) Giải phương trình: ![]()
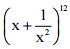
b) Tìm hệ số của x3 trong khai triển nhị thức Newton
, x ≠ 0.
Bài 3: (1.0 điểm) Trường THPT Nguyễn Du có 16 học sinh là đoàn viên ưu tú, trong đó khối 12 có 7 học sinh, khối 11 có 6 học sinh và khối 10 có 3 học sinh. Văn phòng Đoàn cần chọn ra 1 nhóm gồm 5 học sinh là đoàn viên ưu tú để tham gia xây nhà tình thương. Tính xác suất để chọn được 5 học sinh có đủ 3 khối.
Bài 4: (2.0 điểm) Cho hình chóp S.ABCD có đáy ABCD là hình thang với AD là đáy lớn.
a) Tìm giao tuyến của hai mặt phẳng (SAB) và (SCD); (SAD) và (SBC).
b) Gọi M là trung điểm của cạnh SD và N, P lần lượt là điểm nằm trên cạnh AB, CD sao cho AN = 2NB, CP = 2DP. Tìm giao điểm của SA và (MNP).
Bài 5: (1.0 điểm) Cho hình chóp S.ABCD có đáy ABCD là hình bình hành tâm O. Gọi I, K, M lần lượt là trung điểm của các cạnh SA, SC, OD. Chứng minh: SD song song (IKM).
Đáp án đề thi học kì 1 môn Toán lớp 11
HƯỚNG DẪN CHẤM KIỂM TRA HỌC KỲ I KHỐI 11 MÔN TOÁN – ĐỀ 1


Mời các bạn tải file đầy đủ về tham khảo.