Đề thi học kì 1 môn Toán lớp 7 huyện Tân Châu, Tây Ninh năm 2015 - 2016
Đề thi học kì 1 môn Toán lớp 7 năm học 2015 - 2016
Đề thi học kì 1 môn Toán lớp 7 huyện Tân Châu, Tây Ninh năm 2015 - 2016 được VnDoc.com sưu tầm và đăng tải là tài liệu ôn tập môn Toán lớp 7 học kì 1 hữu ích dành cho các bạn học sinh, giúp các bạn luyện tập và củng cố kiến thức môn Toán của mình.
Đề thi học kì 1 môn Toán lớp 7 năm 2014 - 2015 trực tuyến
Đề thi học kì 1 môn Toán lớp 7 Phòng GD - ĐT Tân Châu năm 2014 - 2015
Đề thi học kì 1 môn Toán lớp 7 thị xã Ninh Hòa, Khánh Hòa năm 2015 - 2016
|
UBND HUYỆN TÂN CHÂU PHÒNG GIÁO DỤC VÀ ĐÀO TẠO |
CỘNG HÒA XÃ HỘI CHỦ NGHĨA VIỆT NAM Độc lập – Tự do – Hạnh phúc |
KỲ KIỂM TRA HỌC KỲ I NĂM HỌC 2015 - 2016
MÔN: TOÁN - LỚP 7
Thời gian: 90 phút
(Không kể thời gian phát đề)
ĐỀ CHÍNH THỨC:
I) LÝ THUYẾT (2 điểm)
Câu 1: (1 điểm) Viết công thức tính lũy thừa của một tích.
Áp dụng tính: 22. 52
Câu 2: (1 điểm) Phát biểu định lý về tổng ba góc trong một tam giác.
Áp dụng: Cho tam giác ABC biết:
![]()
II) BÀI TẬP (8 điểm)
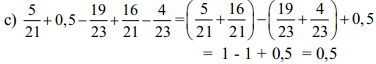
Bài 1: (2 điểm) Thực hiện các phép tính sau:

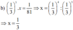
Bài 2: (1 điểm) Tìm x biết:

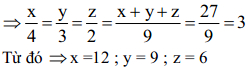
Bài 3: (1 điểm) Biết ba cạnh của một tam giác tỉ lệ với 4; 3; 2 và chu vi của tam giác là 27cm. Tính độ dài 3 cạnh của tam giác đó.
Bài 4: (1 điểm) Chứng minh rằng 87 - 218 chia hết cho 14
Bài 5 ( 3 điểm) Cho tam giác ABC có AB = AC,
. Lấy I là trung điểm của BC. Trên tia AI lấy điểm D sao cho ID = IA.

Đáp án đề thi học kì 1 môn Toán lớp 7
I) LÝ THUYẾT (2 điểm)
Câu 1:
Viết đúng công thức tính lũy thừa của một tích: (x.y)n = xn. yn
Áp dụng tính: 22. 52 = 102 = 100
Câu 2:
Phát biểu đúng định lý về tổng ba góc trong một tam giác.

II) BÀI TẬP (8 điểm)
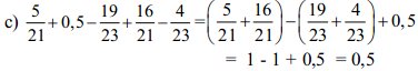
Bài 1



Bài 2


Bài 3
Gọi độ dài 3 cạnh của tam giác là x, y, z (đơn vị là cm)
Theo đề bài ta có: x: y: z = 4: 3: 2 và x + y + z = 27

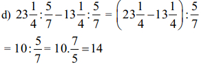
Bài 4
Chứng minh rằng 87 - 218 chia hết cho 14 như sau:
Ta có 87 - 218 = (23)7 - 218
= 221 - 218
= 217(24-2)
= 217.14 chia hết cho 14
Bài 5
Vẽ hình đúng (0.25đ) và ghi GT-KL đúng (0.25đ)
