Đề thi học kì 1 môn Toán lớp 7 thị xã Ninh Hòa, Khánh Hòa năm 2015 - 2016
Đề thi học kì 1 môn Toán lớp 7 năm 2015 - 2016
Đề thi học kì 1 môn Toán lớp 7 thị xã Ninh Hòa, Khánh Hòa năm 2015 - 2016 có 6 câu hỏi và đáp án đi kèm, VnDoc.com hy vọng đây là tài liệu ôn tập và củng cố kiến thức môn Toán hiệu quả, từ đó đạt điểm số cao trong các bài thi, bài kiểm tra Toán.
Đề thi học kì 1 môn Toán lớp 7 trực tuyến năm 2014 - 2015
Đề thi học kì 1 môn Toán lớp 7 trường THCS Lương Phú, Thái Nguyên năm 2015 - 2016
Đề thi học kì 1 môn Toán lớp 7 trường PTDT Nội Trú, Sơn La năm 2015 - 2016
|
PHÒNG GIÁO DỤC VÀ ĐÀO TẠO THỊ XÃ NINH HÒA |
ĐỀ KIỂM TRA HKI NĂM HỌC 2015-2016 Môn: TOÁN lớp 7 Thời gian làm bài: 90 phút (Không tính thời gian phát đề) |
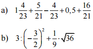
Bài 1: (2,00đ) Thực hiện phép tính:

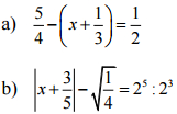
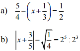
Bài 2: (2,00đ) Tìm x biết:

Bài 3: (1,50đ) Tìm ba số x,y,z biết:
![]()
Bài 4: (1,50đ) Một ô tô đi từ A đến B với vận tốc 40 km/h hết 4 giờ 30 phút. Hỏi khi ô tô đó đi từ B về A với vận tốc 50 km/h thì hết bao nhiêu thời gian?
Bài 5: (2,50đ) Cho tam giác ABC, M là trung điểm cạnh AC. Trên tia đối của tia MB lấy điểm D sao cho MD = MB.
a) Chứng minh: ABM = CDM
b) Chứng minh: AB // CD
c) Trên tia đối của tia BA lấy điểm E sao cho BE = AB. Chứng minh rằng: ![]()
Bài 6: (0,50đ)
![]()
Tính giá trị biểu thức: 
Đáp án đề thi học kì 1 môn Toán lớp 7
