Đề thi học kì 1 môn Toán lớp 7 Phòng GD&ĐT Ninh Hòa, Khánh Hòa năm học 2016 - 2017
Đề thi học kì 1 môn Toán lớp 7
Đề thi học kì 1 môn Toán lớp 7 Phòng GD&ĐT Ninh Hòa, Khánh Hòa năm học 2016 - 2017. Đề thi gồm có 6 câu hỏi tự luận với thời gian làm bài là 90 phút. Phần đáp án cùng thang điểm chi tiết đã được chúng tôi cập nhật đầy đủ, vì vậy bạn có thể đối chiếu kết quả bài làm của chính mình ngay sau khi làm xong. Mời các bạn cùng tham khảo.
Đề thi học kì 1 môn Toán lớp 7 trường THCS Kim Đức, Phú Thọ năm học 2016 - 2017
Đề thi học kì 1 môn Toán lớp 7 Phòng GD&ĐT thành phố Thái Bình năm học 2016 - 2017
| PHÒNG GIÁO DỤC VÀ ĐÀO TẠO THỊ XÃ NINH HÒA |
ĐỀ KIỂM TRA HỌC KÌ I NĂM HỌC 2016 - 2017 MÔN: TOÁN LỚP 7 Thời gian làm bài: 90 phút (Không tính thời gian phát đề) |
Bài 1: (1,5 điểm) Thực hiện phép tính:

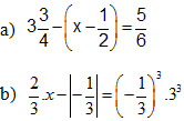
Bài 2: (2,0 điểm) Tìm x biết:

Bài 3: (1,5 điểm) Khối lớp 7 của một trường THCS trong thị xã có 160 học sinh. Sau khi kiểm tra học kì 1, số học sinh xếp thành 3 loại giỏi, khá, trung bình. Biết số học sinh giỏi, khá, trung bình lần lượt tỉ lệ với 4; 5; 7. Tính số học sinh mỗi loại của khối 7.
Bài 4: (1,5 điểm) Cho biết 30 công nhân xây xong một ngôi nhà hết 90 ngày. Hỏi 15 công nhân xây ngôi nhà đó hết bao nhiêu ngày? (giả sử năng suất làm việc của mỗi công nhân là như nhau)
Bài 5: (3,0 điểm) Cho tam giác ABC có AB = AC, gọi I là trung điểm của BC.
a) Chứng minh ABI = ACI.
b) Vẽ IK AB (KAB), trên tia đối IA lấy điểm D sao cho ID = IA. Chứng minh IK CD.
c) Trên tia đối IK lấy điểm H sao cho IH = IK.Chứng minh ba điểm C, H, D thẳng hàng.
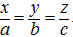
Bài 6: (0,5 điểm) Cho a + b + c = a2 + b2 + c2 = 1 và ![]()
Chứng minh rằng: (x + y + z)2 = x2 + y2 + z2
ĐÁP ÁN ĐỀ THI HỌC KÌ 1 MÔN TOÁN LỚP 7



