Đề thi học kì 1 môn Toán lớp 7 năm học 2016 - 2017
Đề thi học kì 1 môn Toán lớp 7
Đề thi học kì 1 môn Toán lớp 7 năm học 2016 - 2017. Đề thi gồm có 5 câu hỏi tự luận với thời gian làm bài thi là 90 phút. Đáp án các đề thi học kì 1 lớp 7 môn Toán cùng thang điểm chi tiết đã được chúng tôi cập nhật đầy đủ và chính xác để các bạn có thể tự đánh giá kết quả bài làm của mình. Mời các bạn cùng tham khảo.
Đề thi học kì 1 môn Toán lớp 7 Phòng GD&ĐT Vĩnh Yên, Vĩnh Phúc năm học 2016 - 2017
Đề thi học kì 1 môn Toán lớp 7 trường THCS Kim Đức, Phú Thọ năm học 2016 - 2017
Bộ đề thi học kì 1 môn Toán lớp 7 năm học 2016 - 2017
Đề thi học kì 1 môn Toán lớp 7 trường THCS Nghĩa Lâm, Quảng Ngãi năm học 2016 - 2017
| Trường ......................... Lớp ............................. Họ và tên ................... |
ĐỀ THI HỌC KÌ 1 NĂM HỌC 2016 - 2017 MÔN: TOÁN LỚP 7 Thời gian làm bài: 90 phút |
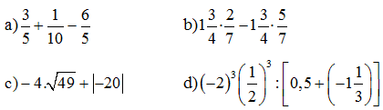
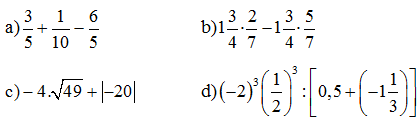
Câu 1 (2,0 điểm): Thực hiện phép tính:

Câu 2 (3,0 điểm): Tìm x, biết:
![]()
Câu 3 (2,0 điểm): Ba lớp 7A, 7B, 7C tham gia lao động trồng cây, biết rằng số cây trồng được của ba lớp tỉ lệ với 3; 2; 4 và số cây trồng được của ba lớp là 54 cây. Hỏi số cây trồng được của mỗi lớp.
Câu 4 (2,5 điểm): Cho ABC có số đo góc A bằng 900. Trên tia đối tia CA lấy điểm I sao cho CI = CA. Trên tia đối của tia CB lấy điểm K sao cho CK = CB. Chứng minh:
a) AB = IK
b) AB // IK
c) Biết số đo góc K bằng 550, tính số đo góc BCI.
Câu 5 (0,5 điểm): Tìm số nguyên x biết: ![]()
ĐÁP ÁN ĐỀ THI HỌC KÌ 1 MÔN TOÁN LỚP 7


