Đề thi học kì 1 môn Toán lớp 8 Quận 11, TP. Hồ Chí Minh năm 2015 - 2016
Đề thi học kì 1 môn Toán lớp 8 có đáp án
Đề thi học kì 1 môn Toán lớp 8 Quận 11, TP. Hồ Chí Minh năm 2015 - 2016 được VnDoc.com sưu tầm và đăng tải là tài liệu học tập hữu ích dành cho các bạn học sinh lớp 8. Đề thi có đáp án đi kèm, mời các bạn tham khảo.
Đề kiểm tra học kì I lớp 8 môn Tiếng Anh trực tuyến
Đề kiểm tra học kì 1 môn Toán lớp 8 trường THCS Hoa Lư, Vạn Ninh năm 2015 - 2016
Đề kiểm tra học kì 1 môn Toán lớp 8 năm học 2015 - 2016 trường TH&THCS Hương Nguyên, Thừa Thiên Huế
|
ỦY BAN NHÂN DÂN QUẬN 11 PHÒNG GIÁO DỤC VÀ ĐÀO TẠO |
ĐỀ KIỂM TRA HỌC KỲ I - NĂM HỌC 2015 - 2016 MÔN TOÁN – LỚP 8 Thời gian: 90 phút (không kể thời gian phát đề) |
ĐỀ CHÍNH THỨC
(Đề gồm 01 trang)
Bài 1 (2đ) Tính và rút gọn
a) (x + 1) (2x – 3) b) (x – 3)2 + 6x
Bài 2 (1 đ) Phân tích các đa thức sau thành nhân tử
a) 4x2 + 6xy
b) x2y – 5x + 2xy – 10
Bài 3 (1 đ) Tìm x, biết
a) (x – 5)(3x + 3) – x (3x + 2) = -1
b) x2 – 4 – 3x(x + 2) = 0
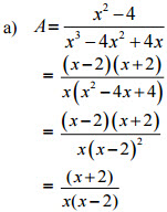
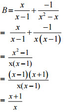
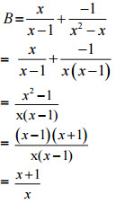
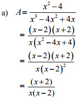
Bài 4 (1đ)

Bài 5 (3,5)
Cho hình bình hành ABCD = 2AD. Gọi E và F theo thứ tự là trung điểm của AB và CD.
a) Chứng minh: AECF là hình bình hành.
b) Chứng minh: AEFD là hình thoi
c) Gọi M là giao điểm của À và DE; N là giao điểm của BF và CE. Chứng minh: EMFN là hình chữ nhật.
d) Hình bình hành ABCD cần thêm điều kiện gì thì EMFN là hình vuông?
Bài 6 (0,5đ)
Bác Ba có 60 m lưới thép. Bác dự định rào quanh một miếng đất hình chữ nhật để nuôi gà. Em hãy giúp bác Ba rào mảnh đất hình chữ nhật với diện tích lớn nhất.
Đáp án đề thi học kì 1 môn Toán lớp 8
Bài 1 (2đ) Tính và rút gọn
a) (x + 1) (2x - 3)
= 2x2 - 3x + 2x - 3
= 2x2 - x - 3
b) (x – 3)2 + 6x
= x2 - 6x + 9 + 6x
= x2 + 9
Bài 2 (1 đ) Phân tích các đa thức sau thành nhân tử
a) 4x2 + 6xy
= 2x(2x + 3y)
b) x2 y – 5x + 2xy – 10
= (x2 y + 2xy) - (5x + 10)
= xy(x + 2) - 5(x + 2)
= (x + 2) (xy - 5)
Bài 3 (1 đ) Tìm x, biết
a) (x – 5)(3x + 3) – x (3x + 2) = -1
↔ 3x 2 + 3x - 15x - 15 - 3x 2 - 2x = -1
↔ -14x – 15 = -1
↔ -14x = 14
↔ x = -1
b) x2 – 4 – 3x(x + 2) = 0
↔ (x-2)(x+2) - 3x(x+2) = 0
↔ (x+2)(x - 2 - 3x) = 0
↔ (x+2)(-2x-2)= 0
↔ x = -2 hay x = -1
Bài 4 (1đ)


Bài 5 (3,5đ)

a) * C/m được
- AE // CF
- AE = CF
-> AECF là hình bình hành
b) * C/m được
- AE // DF
- AE = DF
-> AEFD là hình bình hành
* C/m được AEFD là hình thoi
c) * C/m được
- EM // FN
- MF // NE
-> EMFN là hình bình hành
* C/m được EMFN là hình chữ nhật
d * Lý luận tới hình thoi AEFD trở thành hình vuông
* Kết luận hình bình hành ABCD là hình chữ nhật (hoặc có AΛ hay DΛ = 900) thì EMFN là hình vuông.
Bài 6 (0,5đ)
Gọi chiều rộng miếng đất hình chữ nhật là x (x>0 đơn vị là m)
Chiều dài miếng đất hình chữ nhật là 30 – x
Diện tích miếng đất hình chữ nhật là x(30 – x)
Ta có: x(30 – x)
= ....
= –(x – 15)2 + 225 ≤ 225, ¥ x
-> Diện tích hình chữ nhật lớn nhất bằng 225m2
Khi x = 15m
KL: Miếng đất hình chữ nhật cần rào có 2 kích thước bằng nhau bằng 1m.