Đề kiểm tra học kì 1 môn Toán lớp 8 năm học 2015 - 2016 trường TH&THCS Hương Nguyên, Thừa Thiên Huế
Đề thi kiểm tra học kì 1 môn Toán lớp 8 có đáp án
Đề thi học kì 1 dưới đây là đề thi kiểm tra học kì 1 môn Toán lớp 8 năm học 2015 - 2016 trường TH&THCS Hương Nguyên, Thừa Thiên Huế là đề thi học kì I môn Toán có đáp án. Đề thi học kỳ 1 môn Toán này dành cho các bạn học sinh lớp 8 tham khảo và luyện tập. Hi vọng tài liệu này sẽ giúp các bạn ôn tập và củng cố kiến thức, học tốt môn Toán 8.
Đề thi học kì 1 môn Toán lớp 8 trường THCS Kỳ Thượng, Quảng Ninh năm học 2016 - 2017
Đề thi học kì 1 môn Toán lớp 8 Phòng GD&ĐT Vĩnh Yên, Vĩnh Phúc năm học 2016 - 2017
Đề thi học kì 1 môn Toán lớp 8 trường THCS Diễn Lâm, Nghệ An năm học 2016 - 2017
| PHÒNG GD&ĐT A LƯỚI TRƯỜNG TH&THCS HƯƠNG NGUYÊN ĐỀ ĐỀ XUẤT |
KIỂM TRA HỌC KÌ I - NĂM HỌC 2015-2016 MÔN: TOÁN 8 Thời gian: 90 phút (Không kể thời gian phát đề) |
Câu 1. (1,5 điểm) Thực hiện các phép tính:
a. x(x2 – 2xy + 1); b. x2(x + y) + 2x(x2 + y).
Câu 2. (1 điểm) Tính nhanh:
a. 1052 – 25; b. 142 – 8.14 + 42.
Câu 3. (1 điểm) Phân tích các đa thức sau thành nhân tử:
a. 2xy + 2x; b. x2 – y2 +5x – 5y.
Câu 4. (1 điểm) Làm tính chia: (x4 – 2x3 + 2x -1): (x2 – 1).
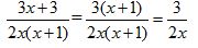
Câu 5: (1 điểm) Rút gọn phân thức:
.
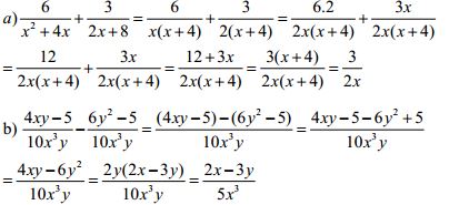
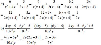
Câu 6. (1,5 điểm) Thực hiện các phép tính:
![]()
Câu 7. (1 điểm) Tính x trong hình vẽ bên, biết AB//FE.

Câu 8: (2 điểm) Cho tam giác ABC. Gọi M và N lần lượt là trung điểm của AB và AC.
a. Hỏi tứ giác BMNC là hình gì? Vì sao?
b. Trên tia đối của tia NM xác định điểm E sao cho NE = NM. Hỏi tứ giác AECM là hình gì? Vì sao?
Đáp án đề kiểm tra học kì 1 môn Toán lớp 8
Câu 1 (1,5 điểm)
a) x(x2 – 2xy + 1)= x3 – 2x2y + x
b) x2(x+y) + 2x(x2 +y) = x3 + x2y + 2x3 + 2xy = 3x3 + x2y + 2xy
Câu 2 (1 điểm)
a) 1052 - 25 = 1052 – 52 = (105 + 5)(105 – 5) = 110.100 = 11000
b) 142 – 8.14 + 42 = 142 – 2.14.4 + 42 = (14 – 4)2 = 102 = 100
Câu 3 (1 điểm)
a) 2xy + 2x = 2x(y + 1)
b) x2 – y2 +5x – 5y = (x + y)(x - y) + 5(x - y) = (x - y)(x + y + 5)
Câu 4. (1 điểm)

Câu 5: (1 điểm)
![]()
Câu 6. (1,5 điểm)

Câu 7. (1 điểm)
CD là đường trung bình của hình thang.
Nên x = CD = (6 + 10) : 2 = 8cm.
Câu 8: (2 điểm)

a. Ta có: MA = MB (gt); NA = NC (gt)
Nên MN là đường trung bình của ABC (theo định nghĩa)
Do đó: MN//BC
Vậy BMNC là hình thang.
b. Tứ giác AECM có: NA=NC (gt); NE = NM (gt)
Tứ giác AECM có hai đường chéo cắt nhau tại trung điểm của mỗi đường nên AECM là hình bình hành (theo dấu hiệu nhận biết).
Mời các bạn làm thêm các đề thi học kì 1 lớp 8 mà chúng tôi đã sưu tầm, chọn lọc từ các trường THCS trên toàn quốc. Làm nhiều đề thi sẽ giúp các bạn học tốt hơn và đạt kết quả cao hơn trong kì thi học kì 1 sắp tới.