Đề thi học kì 1 môn Toán lớp 8 trường THCS Diễn Lâm, Nghệ An năm học 2016 - 2017
Đề thi học kì 1 môn Toán lớp 8
Đề thi học kì 1 môn Toán lớp 8 trường THCS Diễn Lâm, Nghệ An năm học 2016 - 2017. Đề thi do các thầy cô giáo giảng dạy môn Toán trường THCS Diễn Lâm thuộc Phòng GD&ĐT Diễn Châu, tỉnh Nghệ An biên soạn. Đề gồm có 5 câu hỏi tự luận với thời gian thực hiện bài thi là 90 phút. Nội dung đề thi bám sát kiến thức SGK môn Toán lớp 8 học kì 1. Phần đáp án và thang điểm chi tiết đã được chúng tôi cập nhật đầy đủ và chính xác. Mời các bạn tham khảo.
Đề thi học kì 1 môn Toán lớp 8 Phòng GD&ĐT Bình Giang, Hải Dương năm học 2015 - 2016
Đề thi học kì 1 môn Toán lớp 8 Quận 11, TP. Hồ Chí Minh năm 2015 - 2016
Đề thi học kì 1 môn Toán lớp 8 Phòng GD&ĐT Tây Hòa, Phú Yên năm học 2015 - 2016
Đề thi học kì 1 môn Toán lớp 8 Phòng GD&ĐT Tứ Kỳ, Hải Dương năm học 2015 - 2016
| PHÒNG GD&ĐT DIỄN CHÂU TRƯỜNG THCS DIỄN LÂM |
KIỂM TRA HỌC KÌ I NĂM HỌC 2016 - 2017 MÔN: TOÁN LỚP 8 Thời gian làm bài: 90 phút |
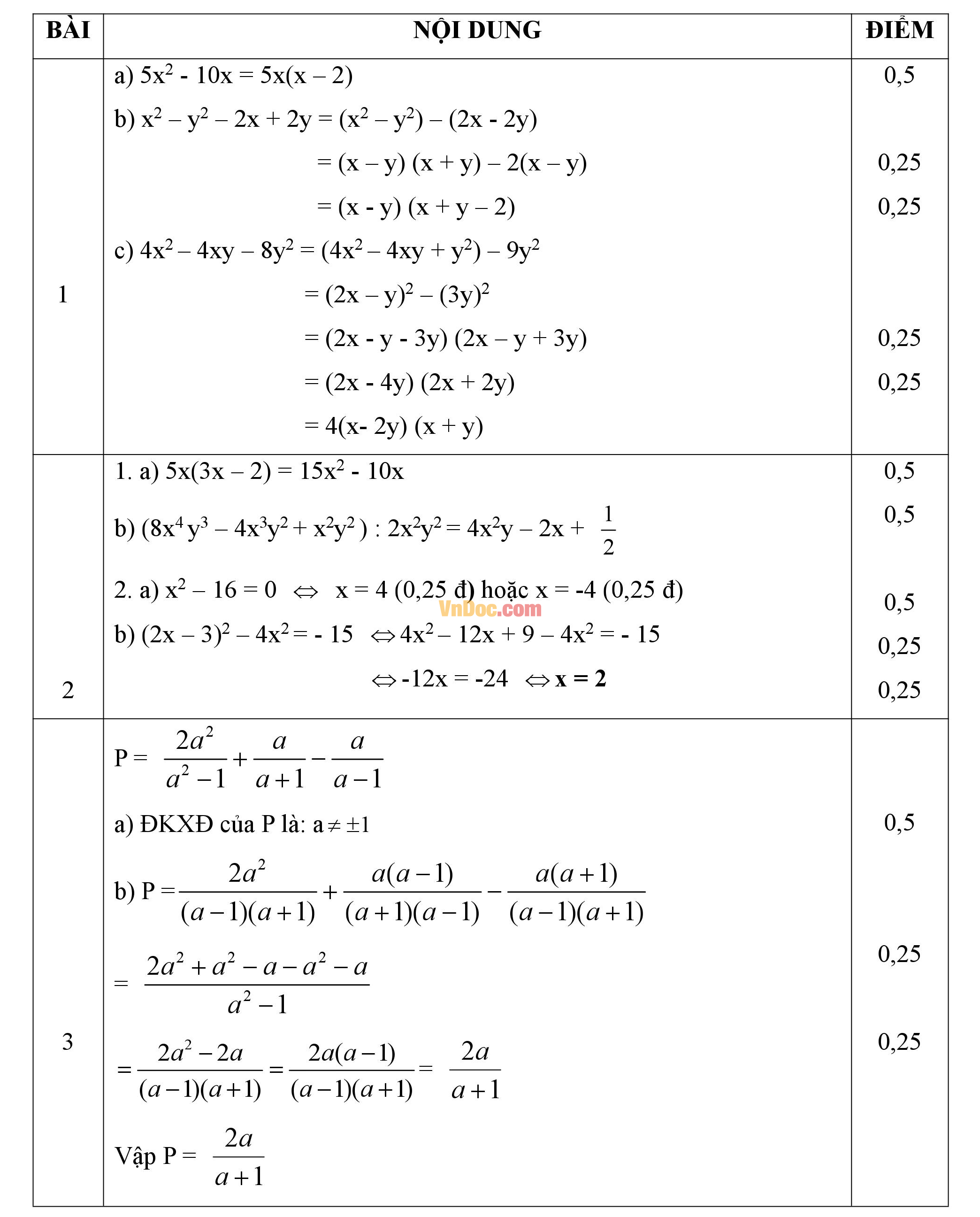
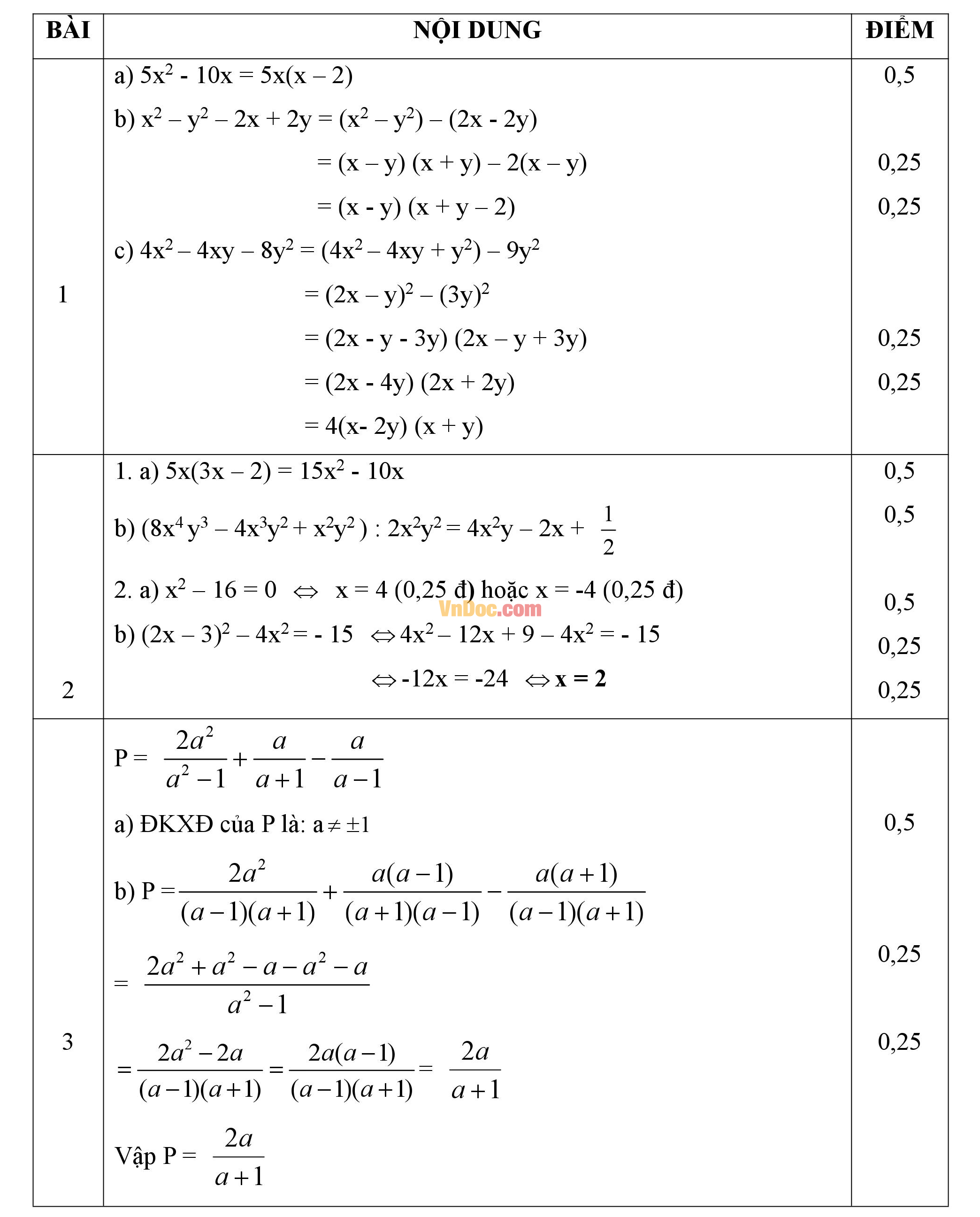
Bài 1. (1,5 điểm) Phân tích đa thức thành nhân tử:
a) 5x2 - 10x b) x2 – y2 – 2x + 2y c) 4x2 – 4xy – 8y2
Bài 2: (2,0 điểm)
1. Thực hiện phép tính:
a) 5x(3x – 2 ) b) (8x4y3 – 4x3y2 + x2y2) : 2x2y2
2. Tìm x biết
a) x2 – 16 = 0 b) (2x – 3)2 – 4x2 = - 15
Bài 3: (2,5 điểm)
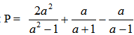
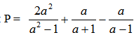
Cho biểu thức: P = 
a) Tìm a để biểu thức P có nghĩa.
b) Rút gọn P.
c) Tìm giá trị nguyên của a để P có giá trị nguyên.
Bài 4. (3,0 điểm).
Cho hình chữ nhật ABCD. Gọi H là chân đường vuông góc kẻ từ A đến BD. Gọi M và N theo thứ tự là trung điểm của các đoạn AH và DH.
a) Chứng minh MN//AD.
b) Gọi I là trung điểm của cạnh BC. Chứng minh tứ giác BMNI là hình bình hành.
c) Chứng minh tam giác ANI vuông tại N.
Bài 5. (1,0 điểm)
Cho các số x, y thoả mãn đẳng thức 5x2 + 5y2 + 8xy - 2x + 2y + 2 = 0. Tính giá trị của biểu thức M = (x + y)2015 + (x - 2)2016 + (y + 1)2017
ĐÁP ÁN ĐỀ THI HỌC KÌ 1 MÔN TOÁN LỚP 8


