Đề thi học kì 1 môn Toán lớp 8
Đề thi học kì 1 môn Toán lớp 8 năm học 2018 - 2019 được VnDoc sưu tầm và đăng tải. Đề thi hk1 Toán 8 này gồm có 5 câu hỏi tự luận, trong đó 4 câu về đại số, 1 câu về hình học với thời gian làm bài thi là 90 phút. Đề thi học kì 1 môn Toán lớp 8 này được đánh giá là vừa sức với học sinh, không quá khó, nếu học sinh nắm chắc kiến thức sẽ làm được bài và đạt điểm khá.
Ngoài ra, VnDoc.com đã thành lập group chia sẻ tài liệu học tập THCS miễn phí trên Facebook: Tài liệu học tập lớp 8. Mời các bạn học sinh tham gia nhóm, để có thể nhận được những tài liệu mới nhất.
Đề thi học kì 1 môn Toán lớp 8 năm học 2020 - 2021 mới nhất
Đề thi học kì 1 lớp 8 môn Toán do VnDoc biên soạn
Đề thi học kì 1 môn Toán lớp 8
Đề thi học kì 1 lớp 8 môn Toán năm 2019 - 2020
- Bộ đề thi học kì 1 lớp 8 môn Ngữ văn năm học 2019 - 2020
- Bộ đề thi học kì 1 lớp 8 môn Toán năm học 2019 - 2020
- Bộ đề thi học kì 1 lớp 8 môn Vật lý năm học 2019 - 2020
Đề thi học kì 1 lớp 8 môn Toán năm 2018 - 2019
- Đề thi học kì 1 lớp 8 môn Toán trường THCS & THPT Lương Thế Vinh, Cầu Giấy năm học 2018 - 2019
- Đề thi học kì 1 lớp 8 môn Công nghệ trường THCS Ngô Quyền, Gia Lai năm học 2018 - 2019
- Đề thi học kì 1 lớp 8 môn Toán Phòng GD&ĐT Quận Tây Hồ năm học 2018 - 2019
Đề thi học kì 1 lớp 8 môn Toán năm 2016 - 2017
| Trường .................... Lớp ....................... Họ và tên .............. |
ĐỀ THI HỌC KÌ 1 NĂM HỌC 2016 - 2017 MÔN: TOÁN LỚP 8 Thời gian làm bài 90 phút không kể thời gian giao đề |
Câu 1 (2,0 điểm) Thực hiện phép tính:
a) 2xy.3x2y3
b) x.(x2 - 2x + 5)
c) (3x2 - 6x) : 3x
d) (x2 – 2x + 1) : (x – 1)
Câu 2 (2,0 điểm). Phân tích các đa thức sau thành nhân tử:
a) 5x2y - 10xy2
b) 3(x + 3) – x2 + 9
c) x2 – y2 + xz - yz
Câu 3 (2,0 điểm). Cho biểu thức: ![]()
a) Với điều kiện nào của x thì giá trị của biểu thức A được xác định?
b) Rút gọn biểu thức A.
c) Tìm giá trị của biểu thức A tại x = 1.
Câu 4 (3,5 điểm). Cho tam giác MNP vuông tại M, đường cao MH. Gọi D, E lần lượt là chân các đường vuông góc hạ từ H xuống MN và MP.
a) Chứng minh tứ giác MDHE là hình chữ nhật.
b) Gọi A là trung điểm của HP. Chứng minh tam giác DEA vuông.
c) Tam giác MNP cần có thêm điều kiện gì để DE = 2EA.
Câu 5 (0,5 điểm). Cho a + b = 1. Tính giá trị của các biểu thức sau:
M = a3 + b3 + 3ab(a2 + b2) + 6a2b2(a + b).
ĐÁP ÁN ĐỀ THI HỌC KÌ 1 MÔN TOÁN LỚP 8
|
Câu |
Ý |
Nội dung |
Điểm |
|
1
|
a |
2xy.3x2y3 = (2.3).(x.x2).(y.y3) = 6x3y4 |
0,5 |
|
b |
x.(x2 - 2x + 5) = x.x2 - 2x.x + 5.x = x3 - 2x2 + 5x |
0,5 |
|
|
c |
(3x2 - 6x) : 3x = 3x2 : 3x – 6x : 3x = x - 2 |
0,5 |
|
|
d |
(x2 - 2x + 1) : (x - 1) = (x - 1)2 : (x - 1) = x - 1 |
0,5 |
|
|
2
|
a |
5x2y - 10xy2 = 5xy.x – 5xy.2y = 5xy(x – 2y) |
0,5 |
|
b |
3(x + 3) - x2 + 9 = 3(x + 3) - (x2 - 9) = 3(x + 3) - (x + 3)(x - 3) = (x + 3)(3 - x + 3) = (x + 3)(6 - x) |
0,25 0,25
0,25 |
|
|
c |
x2 - y2 + xz – yz = (x2 - y2) + (xz - yz) = (x - y)(x + y) + z(x - y) = (x - y)(x + y + z) |
0,25 0,25 0,25 |
|
|
3
|
a |
Điều kiện xác định: |
0,5 |
|
b |
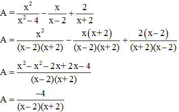
Rút gọn
|
0,5
0,5 |
|
|
c |
Thay x = 1 vào A ta có |
0,5 |
|
|
4
|
|
|
0,5 |
|
a |
Tứ giác MDHE có ba góc vuông nên là hình chữ nhật. |
1,0 |
|
|
b |
MDHE là hình chữ nhật nên hai đường chéo bằng nhau và cắt nhau tại trung điểm của mỗi đường. Gọi O là giao điểm của MH và DE. Ta có: OH = OE.=> góc H1 = góc E1 Tam giác EHP vuông tại E có A là trung điểm PH suy ra: AE = AH. (Do tam giác vuông, đường trung tuyến ứng với cạnh huyền bằng một nửa cạnh huyền) => góc H2 = góc E2 => góc AEO và AHO bằng nhau mà góc AHO = 900. Từ đó góc AEO = 900 hay tam giác DEA vuông tại E. |
0,25
0,25
0,25 0,25 |
|
|
c |
DE = 2EA <=> OE = EA <=> tam giác OEA vuông cân <=> góc EOA = 450 <=> góc HEO = 900 <=> MDHE là hình vuông <=> MH là phân giác của góc M mà MH là đường cao nên tam giác MNP vuông cân tại M. |
0,5
0,5 |
|
|
5
|
|
M = a3 + b3 + 3ab(a2 + b2) + 6a2b2(a + b) = (a + b)(a2 - ab + b2) + 3ab((a + b)2 - 2ab) + 6a2b2(a + b) = (a + b)((a + b)2 - 3ab) + 3ab((a + b)2 - 2ab) + 6a2b2(a + b) |
0,25 |
|
= 1 - 3ab + 3ab(1 - 2ab) + 6a2b2 = 1 - 3ab + 3ab - 6a2b2 + 6a2b2 = 1 |
0,25 |
Các đề thi học kì 1 lớp 8 khác:
- Đề thi học kì 1 môn Toán lớp 8 Phòng GD&ĐT Đại Từ, Thái Nguyên
- Đề thi học kì 1 môn Toán lớp 8 trường THCS Chiềng Ken, Lào Cai
- Đề thi học kì 1 môn Toán lớp 8 trường THCS Diễn Lâm, Nghệ An
Đề thi học kì 1 môn Toán lớp 8 năm học 2018 - 2019 được VnDoc chia sẻ đến các quý thầy cô cùng các em học sinh, bộ đề thi gồm có 5 câu hỏi kèm theo đáp án chi tiết giúp các em luyện tập tại nhà, cũng là tài liệu ôn tập học kì 1 rất tốt giúp các em củng cố kiến thức Toán lớp 8, biết cách phân bổ thời gian thi hợp lý. Đồng thời cũng là tài liệu hay giúp quý thầy cô tham khảo chuẩn bị đề thi. Mời các quý thầy cô cùng các em tải về để tham khảo
-----------------------
Ngoài Đề thi học kì 1 môn Toán lớp 8, mời các bạn học sinh còn có thể tham khảo các Toán lớp 8, Giải bài tập Toán lớp 8, đề thi học kì 1 lớp 8, đề thi học kì 2 lớp 8 các môn Toán, Văn, Anh, Lý, Địa, Sinh mà chúng tôi đã sưu tầm và chọn lọc. Với đề thi học kì lớp 8 này giúp các bạn rèn luyện thêm kỹ năng giải đề và làm bài tốt hơn. Chúc các bạn ôn thi tốt
Sau những giờ học tập căng thẳng, mời các em học sinh giải lao qua những bài trắc nghiệm tính cách, trắc nghiệm IQ vui của chúng tôi. Hy vọng, những bài test nhanh này sẽ giúp các em giảm bớt căng thẳng mệt mỏi, có tinh thần tốt nhất cho mỗi buổi đến trường.
- Bạn sẽ là bạn gái tương lai của ai trong BTS
- Loài vật nào ngủ quên trong tâm hồn bạn?
- Bạn thông minh như học sinh lớp mấy?
- Đo mức độ "biến thái" của bạn!
