Đề thi học kì 1 môn Toán lớp 8 Phòng GD&ĐT Đại Từ, Thái Nguyên năm học 2016 - 2017
Đề thi học kì 1 môn Toán lớp 8
Đề thi học kì 1 môn Toán lớp 8 Phòng GD&ĐT Đại Từ, Thái Nguyên năm học 2016 - 2017. Đề thi không có câu hỏi trắc nghiệm, được ra theo hình thức hoàn toàn là tự luận với 6 câu hỏi. Phần đáp án chúng tôi đã cập nhật đầy đủ và chính xác, chính vì vậy các bạn học sinh có thể tự đối chiếu để đánh giá kết quả bài làm của mình. Mời các bạn tham khảo.
Đề thi học kì 1 môn Toán lớp 8 trường THCS Diễn Lâm, Nghệ An năm học 2016 - 2017
Đề thi học kì 1 môn Toán lớp 8 trường THCS Chiềng Ken, Lào Cai năm học 2016 - 2017
Đề thi học kì 1 môn Toán lớp 8 trường THCS Kỳ Thượng, Quảng Ninh năm học 2016 - 2017
Đề thi học kì 1 môn Toán lớp 8 Phòng GD&ĐT Vĩnh Yên, Vĩnh Phúc năm học 2016 - 2017
| PHÒNG GD&ĐT ĐẠI TỪ | ĐỀ THI HỌC KÌ 1 NĂM HỌC 2016 - 2017 MÔN: TOÁN LỚP 8 Thời gian làm bài 90 phút không kể thời gian giao đề |
Câu 1. (2,0 điểm)
Viết bảy hằng đẳng thức đáng nhớ.
Tính nhanh: 1132 - 26.113 + 132
Câu 2. (1,5 điểm) Phân tích các đa thức sau thành nhân tử:
a) x2 - y2 + 5x - 5y b) (2x + 1)2 + 2(4x2 - 1) + (2x - 1)2
Câu 3. (1,5 điểm) Thực hiện phép tính:
![]()
Câu 4. (1,0 điểm): Cho tam giác ABC vuông tại A, đường cao AM. Hãy chứng minh: BC.AM = AB.AC
Câu 5. (3,0 điểm) Cho tam giác ABC vuông tại A, đường trung tuyến AM. Gọi I là trung điểm của AC, N là điểm đối xứng với M qua I.
a. Chứng minh N đối xứng với M qua AC.
b. Chứng minh tứ giác ANCM là hình thoi.
c. Tam giác vuông ABC có điều kiện gì thì hình thoi ANCM là hình vuông.
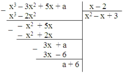
Câu 6. (1,0 điểm) Tìm số a để đa thức x3 - 3x2 + 5x + a chia hết cho đa thức x - 2
ĐÁP ÁN ĐỀ THI HỌC KÌ 1 MÔN TOÁN LỚP 8
Câu 1. (2,0 điểm)
Viết đúng 7 hằng đẳng thức (1,75 điểm)
1132 - 26.113 + 132 = (113 - 13)2 = 1002 = 10000 (0,25 điểm)
Câu 2. (1,5 điểm)
a) x2 - y2 + 5x - 5y = (x + y)(x - y) + 5(x - y) = (x - y)(x + y + 5) (0,75 điểm)
b) (2x + 1)2 + 2(4x2 - 1) + (2x - 1)2
= (2x + 1)2 + 2(2x + 1)(2x - 1) + (2x - 1)2
= (2x + 1 + 2x - 1)2 = (4x)2 = 16x2 (0,75 điểm)
Câu 3. (1,5 điểm)

Câu 4. (1,0 điểm)
Vẽ hình đúng 0,75 điểm

Câu 5. (3,0 điểm)

Vẽ hình, viết GT, KL đúng. (0,5 điểm)
a) Chứng minh được AC ⊥ MN Chứng minh được N đối xứng với M qua AC.
b) Chứng minh được ANCM là hình bình hành. Chứng minh được hình bình hành ANCM là hình thoi.
c) Tìm được tam giác vuông ABC thêm điều kiện cân tại A thì hình thoi ANCM là hình vuông.
Câu 6. (1,0 điểm) Học sinh đặt phép chia rồi cho dư bằng 0, tìm được a = - 6.

Để đa thức x3 - 3x2 + 5x + a chia hết cho đa thức x - 2 thì a + 6 = 0 => a = -6