Đề thi học kì 1 môn Toán lớp 8 trường THCS Chiềng Ken, Lào Cai năm học 2016 - 2017
Đề thi học kì 1 môn Toán lớp 8
Đề thi học kì 1 môn Toán lớp 8 trường THCS Chiềng Ken, Lào Cai năm học 2016 - 2017. Đề thi do các thầy cô giáo giảng dạy môn Toán tại trường THCS Chiềng Ken, tỉnh Lào Cai biên soạn. Đề thi bám sát kiến thức SGK nhằm kiểm tra, đánh giá năng lực học tập của học sinh.
Đề thi học kì 1 môn Toán lớp 8 trường THCS Kỳ Thượng, Quảng Ninh năm học 2016 - 2017
Đề thi học kì 1 môn Toán lớp 8 Phòng GD&ĐT Vĩnh Yên, Vĩnh Phúc năm học 2016 - 2017
Đề thi học kì 1 môn Toán lớp 8 trường THCS Diễn Lâm, Nghệ An năm học 2016 - 2017
Đề thi học kì 1 môn Toán lớp 8 Phòng GD&ĐT Tây Hòa, Phú Yên năm học 2015 - 2016
| TRƯỜNG THCS CHIỀNG KEN | ĐỀ KIỂM TRA HỌC KÌ I Năm học 2016 - 2017 Môn: Toán 8 Thời gian: 90 phút không kể thời gian giao đề |
I/ Trắc nghiệm: (2,0 điểm) Khoanh tròn vào đáp án đúng
Câu 1: Tích (a + b)(b – a) bằng:
a) (a + b)2 b) (a - b)2 c) a2 - b2
Câu 2: Kết quả của phép chia 20x3 : 4xy bằng
a) 5x2y2 b) x2y3 c) 5x2y3
Câu 3: Mẫu thức chung của 2 phân thức
là:
a) 2xy b) 2x3y2 c) x3y2
Câu 4: Tứ giác có 3 góc vuông là:
a) Hình thang b) Hình bình hành c) Hình chữ nhật
Câu 5: Điền dấu "X" vào ô thích hợp?
|
Nội dung |
Đúng |
Sai |
|
1. Điều kiện để giá trị của phân thức |
|
|
|
2. Đa thức 4x2 - 4x + 1 phân tích thành nhân tử là: 4x2 - 4x + 1 = (2x + 1)2 |
|
|
|
3. Tứ giác có hai đường chéo vuông góc với nhau và bằng nhau là hình vuông. |
|
|
|
4. Đường thẳng đi qua trung điểm hai cạnh của một hình thang thì song song với hai cạnh còn lại của hình thang. |
|
II/ Tự luận: (8,0 điểm)
Câu 6: (2,0 điểm) Phân tích đa thức thành nhân tử.
a) x2 + 2x + 1 b) x3 - 2x2 + x c) Tính nhanh 492
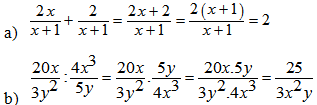
Câu 7: (2,0 điểm) Thực hiện phép tính
![]()
Câu 8: (2,0 điểm) Cho tam giác ABD vuông tại A, trung tuyến AM. Gọi C là điểm đối xứng với A qua M
a.Tứ giác ABCD là hình gì? Vì sao?
b. Cho AC = 5 (cm), BC = 4 (cm). Tính diện tích tứ giác ABCD.
Câu 9: (2,0 điểm) Pi sa.
Một gian phòng nền hình chữ nhật có kích thước 4,2m và 5,4m. Một cửa sổ hình chữ nhật có kích thước 1m và 1,6m. Một cửa ra vào hình chữ nhật có kích thước 1,2m và 2m.
Hỏi gian phòng trên có đạt chuẩn ánh sáng hay không (Theo quy định nếu diện tích các cửa bằng 20% diện tích nền thì phòng đạt chuẩn ánh sáng)
ĐÁP ÁN ĐỀ THI HỌC KÌ 1 MÔN TOÁN LỚP 8
I/ Trắc nghiệm: Mỗi câu đúng được 0,25 điểm
|
Câu 1 |
Câu 2 |
Câu 3 |
Câu 4 |
|
c |
c |
b |
c |
Câu 5: Điền dấu "X" vào ô thích hợp? Mỗi ý đúng được 0,25 điểm
|
Nội dung |
Đúng |
Sai |
|
1. Điều kiện để giá trị của phân thức |
X |
|
|
2. Đa thức 4x2 - 4x + 1 phân tích thành nhân tử là: 4x2 - 4x + 1 = (2x + 1)2 |
|
X |
|
3. Tứ giác có hai đường chéo vuông góc với nhau và bằng nhau là hình vuông. |
|
X |
|
4. Đường thẳng đi qua trung điểm hai cạnh bên của một hình thang thì song song với hai cạnh còn lại của hình thang. |
X |
II/ Tự luận
|
Câu |
Đáp án |
Điểm |
|
6 |
a) x2 + 2x + 1 = (x + 1)2 b) x3 - 2x2 + x = x(x2 - 2x + 1) = x(x - 1)2 c) 492 = (50 - 1)2 = 502 - 2.50.1 + 1 = 2500 - 100 + 1 = 2401 |
0,25 0,25 0,25 0,25 0,5 0,5 |
|
7 |
|
1,0
1,0 |
|
8 |
a) Vì C đối xứng với A qua M => MA = MC, MB = MD (GT) => ABCD là hình bình hành. ABCD là hình bình hành có góc A bằng 900 nên ABCD là hình chữ nhật. b) Áp dụng định lý Pi-ta-go ta có: AB2 = AC2 - BC2 = 25 - 16 = 9 => AB = 4(cm) Vậy diện tích hình chữ nhật ABCD là: SABCD = AB.BC = 4.3 = 12(cm2) |
0,5 0,5 0,5
0,5 |
|
9 Pisa |
Thời gian xúc 5000mm3 đầu tiên là: Phần việc còn lại là: 11600 - 5000 = 6600 (m3) Năng xuất làm việc còn lại là: x + 25 (m3/ngày) Thời gian làm nốt phần việc còn lại là: Thời gian làm việc để hoàn thành công việc là: Với x = 250 thì = = 20 + 24 = 44 (ngày) |
0,25 0,25 0,25 0,25
0,25
0,5 0,25 |
