Đề thi học kì 1 môn Vật lý lớp 10 trường THPT Phan Ngọc Hiển, Cà Mau năm học 2015 - 2016
Đề thi học kì 1 môn Vật lý lớp 10
Đề thi học kì 1 môn Vật lý lớp 10 trường THPT Phan Ngọc Hiển, Cà Mau năm học 2015 - 2016 là đề thi tham khảo môn Vật lý dành cho các bạn và thầy cô nghiên cứu học tập, ôn thi Vật lý lớp 10, ôn thi cuối học kì 1 lớp 10 cũng như hệ thống kiến thức Vật lý 10 chuẩn bị cho chương trình học kì 2 môn Vật lý lớp 10.
Đề thi học kì 1 môn Vật lý lớp 10 trường THPT Ngọc Tảo, Hà Nội năm học 2015 - 2016
Đề thi học kì 1 môn Vật lý lớp 10 trường THPT Lương Thế Vinh, Gia Lai năm học 2015 - 2016
| Trường THPT Phan Ngọc Hiển |
KIỂM TRA HỌC KÌ I, NĂM HỌC 2015 - 2016 Môn: Vật Lí, Lớp 10CB Thời gian: 45 phút |
I. TRẮC NGHIỆM (3 điểm)
Câu 1. Chọn câu sai trong các câu sau:
A. Cánh tay đòn là khoảng cách từ trục quay đến giá của lực.
B. Quy tắc mômen lực có thể áp dụng cho cả trường hợp vật không có trục quay cố định.
C. Đơn vị ̣của mômen lực là N.m
D. Mômen của lực khác không khi giá của lực đi qua trục quay.
Câu 2. Một quả bóng có khối lượng 0,50 kg đang nằm yên trên mặt đất. Một cầu thủ đá bóng với một lực 250N. Thời gian chân tác dụng vào bóng là 0,020s. Quả bóng bay đi với tốc độ:
A. 0,01m/s B. 0,1m/s C. 2,5m/s D. 10m/s
Câu 3. Một ô tô đang chạy với vận tốc 72km/h thì hãm phanh, sau 5s thì dừng hẳn lại. Gia tốc của ô tô là:
A. 4m/s2 B.14,4m/s2
C. - 4m/s2 D. -14,4m/s2
Câu 4. Lực hướng tâm tác dụng lên vật chuyển động tròn đều có biểu thức:
![]()
Câu 5. Chọn câu đúng. Hợp lực
của 2 lực đồng quy
có độ lớn phụ thuộc vào
A. Độ lớn của các lực
B. Độ lớn và hướng của ![]()
C. Hướng của các lực
D. Một yếu tố khác.
Câu 6. Quãng đường vật rơi tự do đi được trong giây thứ tư. (g = 10m/s2)
A. 80m B. 35m C. 45m D. 20m
Câu 7. Chỉ ra câu sai. Chuyển động thẳng đều có đặc điểm sau:
A. Tốc độ không đổi từ lúc xuất phát đến lúc dừng lại.
B. Quỹ đạo là một đường thẳng.
C. Vật đi được những quãng đường bằng nhau trong những khoảng thời gian bằng nhau bất kì.
D. Tốc độ trung bình trên moị quãng đường là như nhau.
Câu 8. Chỉ ra câu sai. Chuyển động tròn đều có các đặc điểm sau:
A. Vec tơ vận tốc không đổi. B. Quỹ đạo là đường tròn
C. Tốc độ góc không đổi D. Vec tơ gia tốc luôn hướng vào tâm
Câu 9. Phải treo một vật có khối lượng bằng bao nhiêu vào một lò xo có độ cứng 100N/m để nó dãn ra được 10cm. (g = 10m/s2)
A. 1g B. 10g C. 100g D. 1000g.
Câu 10. Điều kiêṇ cân bằng của một vật chịu tác dụng của 3 lực không song song
A. Hợp lực của hai lực trong ba lực cân bằng với lực thứ ba.
B. Ba lực đồng phẳng.
C. Ba lực đồng quy.
D. A, B, C đều đúng.
Câu 11: Một tấm ván nặng 240N được bắc qua một con mương. Trọng tâm của tấm ván cách điểm tựa A 2,4m và cách điểm tựa B 1,2 m. Lực mà tấm ván tác dụng lên điểm tựa B bằng
A. 160N B. 120N C. 80N D. 60N
Câu 12. Chọn câu sai. Trong quy tắc hợp lực song song cùng chiều.
![]()
II. TỰ LUẬN (7 điểm)
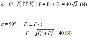
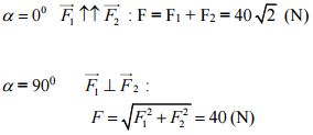
Bài 1: Cho hai lực đồng quy có độ lớn F1 = F2 = 10√2N.
a, Tìm độ lớn hợp lực của chúng trong các trường hơp̣ α = 0o và α = 90o.
b, Góc giữa hai lực F1 và F2 bằng bao nhiêu khi hhợp lực có độ lớn bằng 10√6N.
Bài 2: Một ô tô có khối lượng 1,5 tấn đang chuyển động thẳng nhanh dần đều vận tốc 10m/s. Sau 10 giây vận tốc xe lên đến 15m/s. Hệ số ma sát giữa bánh xe và mặt đường 0,1. g = 10m/s2.
a, Tính gia tốc của xe và quãng đường xe đi trong thời gian trên.
b, Tìm độ lớn lực kéo của động cơ xe.
c, Sau 20 giây thì tài xế thấy chướng ngại vật cách 70m vội tắt máy và hãm phanh với một lực 3000N, xe chuyển động chậm dần và dừng lại. Hỏi xe có chạm vào chướng ngại vật không?
Đáp án đề thi học kì 1 môn Vật lý lớp 10
I. TRẮC NGHIỆM (3 điểm)
|
1 |
2 |
3 |
4 |
5 |
6 |
7 |
8 |
9 |
10 |
11 |
12 |
|
D |
D |
C |
C |
B |
B |
A |
A |
D |
D |
C |
C |
II. TỰ LUẬN (7 điểm)
Bài 1:
a. ![]()

b. F2 = F12 + F22 + 2F1F2cosα
α = 600.
Bài 2:
- Vẽ hình phân tích lực
- Chọn chiều dương làm chiều chuyển động
a, a = 0,5 (m/s2)
s = 12m
b, Fk – Fms = m.a
Fk = 2250(N)
c. v' = v0 + at = 10 + 0,5.20 = 20 (m/s)

Do s > s' nên ô tô không chạm vào chướng ngại vật.