Đề thi học kì 1 môn Vật lý lớp 11 trường THPT Đa Phúc, Hà Nội năm học 2016 - 2017
Đề thi học kì 1 môn Vật lý lớp 11
Đề thi học kì 1 môn Vật lý lớp 11 trường THPT Đa Phúc, Hà Nội năm học 2016 - 2017 là đề kiểm tra học kì I được VnDoc.com sưu tầm và giới thiệu tới quý thầy cô và các em học sinh. Đề thi môn Vật lý gồm 2 mã đề, thời gian làm bài 45 phút, có đáp án đi kèm. Mời các bạn cùng tham khảo.
Đề cương ôn tập học kì 1 môn Vật lý lớp 11
20 đề thi học kì 1 môn Vật lý lớp 11 có đáp án
Đề thi học kì 1 môn Vật lý lớp 11 trường THPT Nguyễn Huệ, Quảng Nam năm học 2014 - 2015
|
TRƯỜNG THPT ĐA PHÚC |
ĐỀ KIỂM TRA HỌC KÌ I |
|
Năm học: 2016-2017 |
Môn: Vật lý - Lớp: 11 |
|
---------š&›----------
|
Thời gian: 45 phút (Lưu ý: HS phải ghi mã đề thi vào bài làm) |
Mã đề 111
I. Trắc nghiệm: (3,0 điểm) Học sinh chọn một đáp án đúng nhất
Câu 1: Đơn vị của điện dung của tụ điện là fara (F), 1 micrôfara (μF) bằng
A. 10-3 F. B. 10-9 F. C. 10-6 F. D. 10-12 F.
Câu 2: Trường hợp nào dưới đây, ta không có một tụ điện? Giữa hai bản kim loại là một lớp
A. Mica B. Nhựa polietilen C. Giấy tẩm dung dịch muối ăn. D. Không khí khô
Câu 3: Đơn vị nào sau đây là đơn vị đo cường độ điện trường?
A. V/m B. C C. N D. V.m
Câu 4: Điện năng biến đổi hoàn toàn thành nhiệt năng ở dụng cụ hay thiết bị điện nào sau đây khi chúng hoạt động?
A. Ắc quy đang được nạp điện. B. Bóng đèn dây tóc.
C. Quạt điện. D. Bàn là điện
Câu 5: Khi xảy ra hiện tượng đoản mạch, thì cường độ dòng điện trong mạch
A. tăng rất lớn. B. tăng giảm liên tục. C. giảm về 0. D. không đổi.
Câu 6: Độ lớn cường độ điện trường tại một điểm gây bởi một điện tích điểm Q không phụ thuộc vào
A. độ lớn điện tích Q. B. khoảng cách từ điểm đang xét đến điện tích Q.
C. hằng số điện môi của của môi trường. D. độ lớn điện tích thử q đặt tại điểm đang xét.
Câu 7: Công thức nào dưới đây khôngdùng để tính công suất của đoạn mạch tiêu thụ điện năng?
![]()
Câu 8: Khi điện phân dung dịch CuSO4, để hiện tượng dương cực tan xảy ra thì anốt phải làm bằng kim loại:
A. Ag. B. Cu. C. Fe. D. Al.
Câu 9: Dòng điện trong kim loại là dòng chuyển động có hướng của
A. các ion dương cùng chiều điện trường. B. các ion âm ngược chiều điện trường.
C. các electron tự do ngược chiều điện trường. D. các prôtôn cùng chiều điện trường.
Câu 10: Điện năng tiêu thụ được đo bằng
A. Ampe kế B. Công tơ điện C. Vôn kế D. Tĩnh điện kế
Câu 11: Đại lượng nào sau đây không có đơn vị là vôn (V)?
A. Điện thế. B. Hiệu điện thế. C. Suất điện động. D. Cường độ dòng điện.
Câu 12: Trong các chất sau đây chất nào là chất cách điện?
A. Sứ B. Nhôm C. Nước muối D. Đồng
II. Tự Luận: (7,0 điểm)
Bài 1: (3,0 đ) Trên vỏ một tụ điện có ghi (10μF – 220V).
a. Em hãy cho biết ý nghĩa của các số ghi trên vỏ tụ điện đó. Tìm điện tích tối đa mà tụ có thể tích được.
b. Nối hai bản tụ điện trên với một hiệu điện thế 160V. Tìm điện tích Q đã tích được trên tụ.
c. Ngắt tụ ra khỏi nguồn. Xét lúc điện tích trên tụ chỉ còn bằng Q/2. Tính gần đúng công mà điện trường trong tụ điện sinh ra khi phóng một lượng điện tích Δq = 0,0001Q từ bản dương sang bản âm khi đó (coi điện thế trên mỗi bản tụ khi đó không đổi).
Bài 2: (4,0 đ) Cho mạch điện như hình vẽ, trong đó suất điện động và điện trở trong tương ứng của nguồn là
, R = 3Ω, các điện trở của mạch ngoài là R1 = 12Ω, R2 = R3 = 10Ω.

a) Tính điện trở mạch ngoài và cường độ dòng điện trên mạch chính?
b) Tính hiệu điện thế của mạch ngoài và hiệu suất của nguồn?
c) Thay điện trở R1 bằng bóng đèn loại (12V-12W) và thay điện trở R3 bằng một ampeke lý tưởng (RA = 0). Tìm số chỉ của ampe kế? Khi đó độ sáng của đèn như thế nào?
Đáp án đề thi học kì 1 môn Vật lý lớp 11
Đáp án mã đề 111
I. Trắc nghiệm:
Mã đề 111
|
Câu |
1 |
2 |
3 |
4 |
5 |
6 |
7 |
8 |
9 |
10 |
11 |
12 |
|
Đáp án |
C |
C |
A |
D |
A |
D |
B |
B |
C |
B |
D |
A |
II. Tự luận. 7 điểm
Bài 1: 3 điểm
a. C =10μF là điên dung của tụ
Ugh = 220V là hiệu điện thế lớn nhất mà tụ còn chịu được
Qmax = C.Ugh = 22.10-4 (C)
b. Q = C.U = 16.10-4 (C)
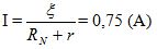
c. Ở thời điểm điện tích trên tụ chỉ còn một nửa so với ban đều thì hiệu điện thế giữa hai bản tụ cũng giảm một nửa: ![]()
Vì chỉ xét một lượng điện tích Δq = 0,0001Q, lượng điện tích này rất nhỏ nên khi đó hiệu điện thế giữa hai bản tụ coi như không đổi. Vậy công mà điện trường sinh ra để phóng lượng điện tích này gần đúng là: A = Δq.U’ = 128.10-7(J)
Bài 2: 4 điểm
a. Sơ đồ mạch điện: R1 nt (R2 ss R3)
![]()
RN = R1 + R23 = 17 (Ω)
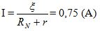
Áp dụng định luật Ôm cho toàn mạch: ![]()
b. UN = I.RN = 12,75 (V)
![]()
c. ![]()
Khi đó dòng điện không chạy qua R2 nên mạch ngoài chỉ có đèn tiêu thụ điện năng
Áp dụng định luật ôm cho toàn mạch ta có: ![]()
IA = I’ = 1 (A). Vậy Ampe kế chỉ 1 (A)
Iđ = I’ = 1(A) = Iđm nên đèn sáng bình thường.
Mời các bạn tải file đầy đủ về tham khảo.