Đề thi học kì 2 môn Toán lớp 10 trường THPT Nguyễn Chí Thanh, TP. Hồ Chí Minh năm học 2015 - 2016
Đề thi học kì 2 môn Toán lớp 10
Đề thi học kì 2 môn Toán lớp 10 trường THPT Nguyễn Chí Thanh, TP. Hồ Chí Minh năm học 2015 - 2016 gồm 8 câu hỏi tự luận có đáp án đi kèm, là tài liệu ôn tập hữu ích dành cho các bạn học sinh, giúp các bạn củng cố và nâng cao kiến thức, chuẩn bị tốt nhất cho bài kiểm tra học kì 2 sắp tới. Mời các bạn tham khảo.
Đề thi học kì 2 môn Ngữ văn lớp 10 trường THPT Nguyễn Chí Thanh, TP. Hồ Chí Minh năm học 2015 - 2016
Đề thi học kì 2 môn Vật lý lớp 10 trường THPT Nguyễn Chí Thanh, TP. Hồ Chí Minh năm học 2015 - 2016
| SỞ GIÁO DỤC ĐÀO TẠO TP. HỒ CHÍ MINH THPT NGUYỄN CHÍ THANH |
ĐỀ KIỂM TRA HK2 – NĂM HỌC 2015 - 2016 Môn: TOÁN – Khối 10 Thời gian làm bài: 90 phút |
Bài 1. (1đ) Tìm tất cả các giá trị của m để bất phương trình sau đây nghiệm đúng ∀x ∈ R: (m - 4)x2 + (m + 1)x + 2m −1 > 0
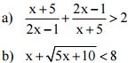
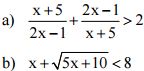
Bài 2. (2đ) Giải các bất phương trình sau:

Bài 3. (1đ) Cho cot α = 3/4, (π < α < 3π/2). Tính sinα, cosα, tan α.
Bài 4. (1đ) Rút gọn biểu thức sau: ![]()
Bài 5. (1đ) Chứng minh rằng: 4cos3x.sin x − 4sin3x.cosx = sin4x
Bài 6. (2đ) Trong Oxy, cho tam giác ABC có A(1;1), B(−3; 2), C(−1; 3) và đường thẳng (d): 2x − y + 3 = 0
a) Viết phương trình đường thẳng (∆) đi qua trọng tâm G của tam giác ABC và song song với đường thẳng (d).
b) Tìm hình chiếu vuông góc H của điểm A lên đường thẳng (d).
Bài 7. (1đ) Viết phương trình đường tròn có bán kính bằng √2 và tiếp xúc với đường thẳng (d): x − y = 0 tại A(1;1).
Bài 8. (1đ) Cho elip (E): 5x2 + 9x2 = 25. Tìm độ dài các trục, tiêu cự, toạ độ các đỉnh và tiêu điểm của (E).
Đáp án đề thi học kì 2 môn Toán lớp 10

