Đề thi học kì 2 môn Vật lý lớp 10 trường THPT Nguyễn Chí Thanh, TP. Hồ Chí Minh năm học 2015 - 2016
Đề thi học kì 2 môn Vật lý lớp 10
Đề thi học kì 2 môn Vật lý lớp 10 trường THPT Nguyễn Chí Thanh, TP. Hồ Chí Minh năm học 2015 - 2016 có đáp án đi kèm, là tài liệu ôn tập môn Lý hữu ích dành cho các bạn học sinh lớp 10, giúp các bạn ôn tập và từ đó chuẩn bị tốt nhất cho kì thi cuối năm sắp tới.
Đề thi học kì 2 môn Vật Lý lớp 10 trường THPT Lý Thái Tổ năm học 2014-2015
| SỞ GIÁO DỤC VÀ ĐÀO TẠO TP HỒ CHÍ MINH TRG THPT NGUYỄN CHÍ THANH |
ĐỀ KIỂM TRA HỌC KỲ 2 – NĂM HỌC 2015 - 2016 Môn: Vật lý – Khối: 10 Thời gian làm bài: 45 phút (Không kể thời gian phát đề) |
A- LÝ THUYẾT (5 điểm)
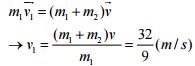
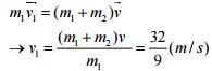
Câu 1: Động lượng: Định nghĩa, viết biểu thức và đơn vị? Phát biểu định luật bảo toàn động lượng?
Áp dụng: Một toa xe có khối lượng 3 tấn chạy trên đường ray thẳng, nhẵn với vận tốc
đến va chạm vào một toa xe thứ hai đang đứng yên có khối lượng 5 tấn. Sau va chạm, hai toa móc vào nhau và chuyển động với vận tốc 4/3 m/s. Tìm v1?
Câu 2: Định nghĩa thế năng đàn hồi? Viết biểu thức tính thế năng đàn hồi và giải thích các đại lượng trong biểu thức?
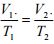
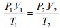
Câu 3: Từ phương trình trạng thái khí lí tưởng suy ra các hệ thức trong các quá trình đẳng nhiệt và đẳng áp? Nêu hình dạng đồ thị tương ứng với mỗi đẳng quá trình?
B- BÀI TOÁN: (5 điểm)
Bài 1: Một vật có khối lượng 2 kg được thả rơi tự do ở độ cao 50 m so với mặt đất. Bỏ qua sức cản của không khí. Cho g = 10m/s2. Tính độ cao khi động năng bằng thế năng?
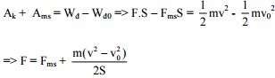
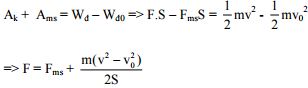
Bài 2: Một vật khối lượng 5 kg chuyển động trên mặt sàn ngang dưới tác dụng của một lực kéo không đổi có phương ngang, vận tốc của vật tăng từ 18 km/h lên đến 54 km/h trên quãng đường 50 m. Biết lực ma sát tác dụng vào vật có độ lớn không đổi bằng 15 N. Dùng định lý biến thiên động năng tìm độ lớn lực kéo tác dụng vào vật?
Bài 3: Một khối khí lý tưởng có thể tích 12,8 lít, ở nhiệt độ 247oC và áp suất 1 atm. Cho khối khí biến đổi qua hai quá trình liên tiếp:
- Quá trình 1: Làm lạnh đẳng áp cho thể tích giảm còn phân nửa thể tích ban đầu
- Quá trình 2: Nung nóng đẳng tích, áp suất tăng lên thêm một lượng bằng 1/2 áp suất ở đầu quá trình 2.
Tìm thể tích, áp suất, và nhiệt độ cuối cùng của khối khí?
Đáp án đề thi học kì 2 môn Vật lý lớp 10
Câu 1 (2 điểm)
- Là đại lượng vectơ bằng tích của khối lượng m với vận tốc v của vật.
- Biểu thức:

- Đơn vị của động lượng là kg.m/s
- Trong một hệ cô lập thì ........

Câu 2 (1,5 điểm)
- Thế năng đàn hồi là dạng năng lượng của một vật chỉ chịu tác dụng của lực đàn hồi
- Biểu thức : Wt = 1/2.k.(Δl)2
- Đơn vị:
- Wt: thế năng đàn hồi (J)
- k: độ cứng của lò xo (N/m)
- ∆l: độ biến dạng của lò xo (m)
Câu 3 (1,5 điểm)
![]()
P1V1 = P2V2
Đồ thị là đường hyperbol
![]()
Đồ thị là đường thẳng kéo dài qua gốc tọa độ
B- BÀI TOÁN: (5 điểm)
Bài 1:
- Chọn gốc thế năng tại mặt đất.
- Cơ năng tại vị trí thả: W1 = 1/2m.v12 + m.g.z1 = 0 + 2.10.50 = 1000(J)
- Cơ năng lúc động năng bằng thế năng: W2 = 2Wt2 = 2.m.g.z2
- Áp dụng ĐLBT CN tại vị trí 1 và 2: W2 = W1 ↔ 2.2.10.z2 = 1000 ↔ z2 = 25 (m)
Bài 2:

Thay số tính ra F = 25 N
Bài 3:
Quá trình 1: P2 = P1 = 1 atm, V2 = 0,5V1 = 6,4 lít
![]()
Quá trình 1: V3 = V2 = 6,4 lít và P3 = P2 + 0,5P1 = 1,5 atm
![]()