Đề thi học kì 2 môn Toán lớp 11 trường THPT Trần Hưng Đạo, TP Hồ Chí Minh năm học 2015 - 2016
Đề thi học kì 2 môn Toán lớp 11
Đề thi học kì 2 môn Toán lớp 11 trường THPT Trần Hưng Đạo, TP Hồ Chí Minh năm học 2015 - 2016 là đề kiểm tra học kì II lớp 11 nhằm đánh giá chất lượng học tập của học sinh. Đề thi môn Toán có đáp án đi kèm, hi vọng sẽ giúp các bạn củng cố kiến thức, ôn thi học kì II lớp 11 hiệu quả.
Đề thi học kì 2 môn Toán lớp 11 trường THPT Chu Văn An, Hà Nội năm học 2015 - 2016
Đề thi học kì 2 môn Toán lớp 11 tỉnh Nam Định năm học 2015 - 2016
|
SỞ GD & ĐT TP. HỒ CHÍ MINH TRƯỜNG THPT TRẦN HƯNG ĐẠO |
ĐỀ THI HỌC KỲ II MÔN TOÁN - KHỐI 11 Ngày thi: 05/05/2016 Thời gian làm bài: 90 phút |
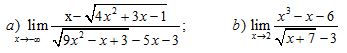
Câu 1: (2 điểm) Tính các giới hạn sau:

Câu 2: (1 điểm) Tìm m để hàm số sau liên tục tại điểm x0 = 1

Câu 3: (1 điểm) Tính đạo hàm của hàm số:

Câu 4: (1 điểm) Cho hàm số f(x) = cos(x/2) - 3sin2x, tính f'(π/2).
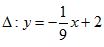
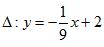
Câu 5: (1 điểm) Cho hàm số: y = x3 - 3x2 + 2 có đồ thị (C). Viết phương trình tiếp tuyến của (C), biết tiếp tuyến vuông góc với đường thẳng
.
Câu 6: (4 điểm) Cho hình chóp S.ABCD có đáy là hình vuông tâm O, cạnh a, SH ⊥ (ABCD), với H là trung điểm AB, tam giác SAB đều. Gọi I, M lần lượt là trung điểm OB, AD.
a) Tính góc giữa đường thẳng SD và mặt phẳng (ABCD).
b) Chứng minh: (SBD) ⊥ (SHI)
c) Chứng minh: CM ⊥ SD.
d) Tính khoảng cách giữa 2 đường thẳng SD và AC.
Đáp án đề thi học kì 2 môn Toán lớp 11


